Login
Section Science

Higher Reverse Alpha -Derivations of Semi-prime Gamma-Ring M


Derivasi Reverse alpha yang Lebih Tinggi dari Cincin Gamma Semi-prima M
Vol. 11 No. 1 (2026): June :

Hussien Jaber Thahab (1)

(1) Department of Mathematics , Open Educational College, Wasit, Iraq

Abstract:

General Background Γ-rings represent an important generalization of classical ring theory and provide a broader framework for studying algebraic mappings and structural properties of algebraic systems. Specific Background In derivation theory, several generalizations such as Jordan derivations, higher derivations, and reverse derivations have been investigated to understand additive mappings in rings and Γ-rings. Knowledge Gap Despite these developments, the structure and properties of higher reverse α-derivations in 2-torsion free semiprime Γ-rings have received limited theoretical attention. Aims This study introduces the concept of higher reverse α-derivations on semiprime Γ-rings and investigates related notions including Jordan higher reverse α-derivations and Jordan triple higher reverse α-derivations. Results The paper formulates definitions for these mappings and establishes several algebraic identities and structural relations that describe their behavior in the setting of semiprime Γ-rings. A series of lemmas and algebraic derivations demonstrate how these mappings interact with the Γ-ring structure and generalize classical results from derivation theory. Novelty The work extends the framework of reverse derivations by introducing higher reverse α-derivations and analyzing their structural properties in 2-torsion free semiprime Γ-rings. Implications These results contribute to the theoretical development of derivation theory in generalized algebraic systems and provide a foundation for further investigations of generalized derivations, higher mappings, and related operator structures within Γ-rings and other algebraic frameworks.


Keywords: Semiprime Gamma Ring, Higher Reverse Alpha Derivation, Jordan Higher Reverse Derivation, Derivation Theory, Algebraic Structures


Key Findings Highlights



  1. Structural identities describing higher reverse α-derivations in semiprime Γ-rings were formulated.

  2. Algebraic relations for Jordan higher reverse and Jordan triple higher reverse mappings were established.

  3. The study extends classical derivation theory to generalized Γ-ring structures.

Downloads

Download data is not yet available.

Introduction

Nobusawa introduced the first Γ-ring which is generalization of the classical concept of a ring. This idea was later marginally undermined by Barnes, with the important algebraic structure being maintained [1-3]. A Γ- ring is in this sense a pairing of additive abelian groups M and Γ along with a mapping M × Γ × M →M to M, (s, γ t) defined by (s, γ, t) ↦ s γ t, satisfying suitable distributive laws and the associativity condition (s γ t) β r = s γ (t β r) and and , for all s, t, r ∈ M and γ, β ∈ Γ [4-6]. A Γ-ring M is called 2torsion free if 2s = 0 implies s = 0. Moreover, M is called prime if s Γ M t = 0 implies, s = 0 or t = 0. It is called semi-prime if s Γ M s = 0 implies s = 0. Every ring is a Γ -ring, of course, but not all rings are necessarily Γ -rings [7-9].

The concept of derivations is significant in the theory of structure of rings and Γ-rings. To generalize the classical theory of derivations in rings, Jing defined derivations and Jordan derivations on Γ-rings [10-12]. Subsequently, a number of authors investigated different generalizations including higher derivations and Jordan higher derivations [13-15]. Chang coined the theory of derivations in rings and examined their algebraic characteristics [16-18]. Later workers generalized these concepts to Γ-rings and studied their behavior in various eponymous conditions. The concept of reverse derivations on rings, introduced by Bresar and Vukman, gave a dual variant of classical derivations and led to the new perspectives in the theory of derivations [7]. It was later developed by Majeed and Salih, who added higher derivations and Jordan higher derivations on Γ-rings along with a number of generalizations and structural properties [8,9]. Having these developments in mind, we generalize the idea of reverse derivations to semi-prime -negative Γ-rings [18-20]. Precisely, we construct higher reverse Γ-rings derivations, Jordan higher reverse Γ-rings derivations and Jordan triple higher reverse Γ-rings M derivations. In this paper, M refers to Semi prime Γ-ring (a 2 torsion free).

2. Reverse Alpha- derivation of Γ-ring M

2.1 Definition

Figure 1.

Let us show examples of reverse a-derivation on G-ring .

2.2. Example

Assume R a ring, the additive abelian groups

Figure 2.

2.3 Example

Figure 3.

3. Higher Reverse -Derivation of -ring M

Let us begin the following concept:

3.1 Definition

Figure 4.

Let us notice an example on higher reverse Alpha-derivation of Γ-ring.

3.2 Example

Figure 5.

4. Key Marks

In this part we will current and learning some properties of upper reverse -derivation on -ring M which make us able to prove several theorem concerning this definition as orthogonally.

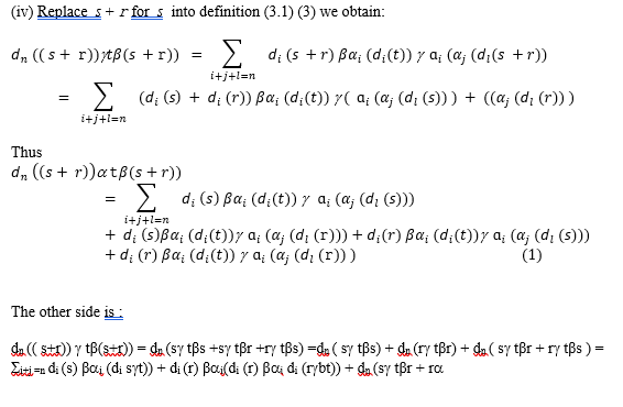
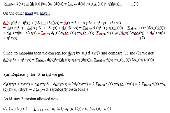
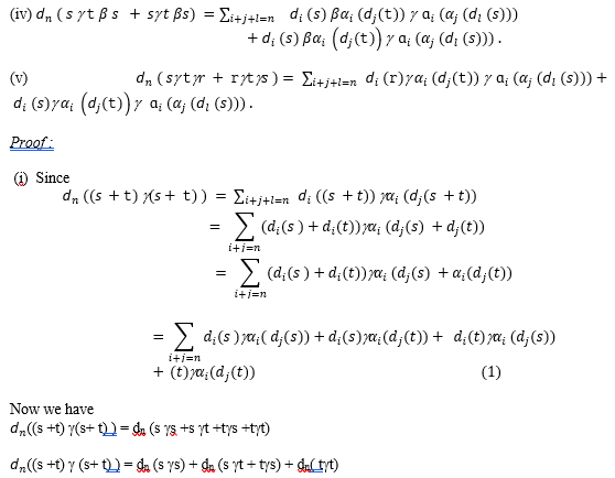
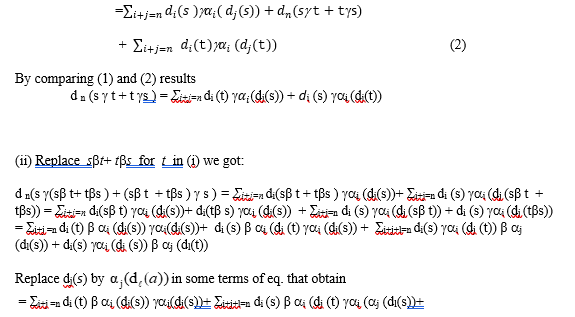
4.1 Lemma

Suppose Alpha = (Alphai)i eN collection of endomorphism of Γ-ring M, d = (di)i eN Jordan higher reverse Alpha-Derivations on M . Then the resulting statements hold :

Figure 6.

Figure 7.

Figure 8.

Figure 9.

Figure 10.

Conclusion

The concept of higher reverse 2-torsion free semi-prime α-derivation Γ -rings was explored in this paper. The paper generalizes the classical theory of derivations and higher derivations in rings into a more general allegorical structure. The higher reverse α-derivations, Jordan higher reverse α-derivations and higher reverse α-derivations were defined. These concepts provide natural generalizations of reverse derivations and allow a deeper understanding of additive mappings in Γ-rings. Several structural properties of these mappings were established. In particular, we derived identities and relations that describe the behavior of Jordan higher reverse -derivations and their interaction with the algebraic structure of semi-prime Γ-rings. These findings show that the setting of Γ-rings can have many of the same qualities as derivations in classical ring theory.

The obtained results contribute to the development of derivation theory in generalized algebraic systems and open the possibility for further research on generalized derivations, higher mappings, and related operator structures in Γ-rings and other algebraic frameworks.

Future work may focus on studying these derivations on prime Γ-rings, with involution, or investigating their connections with generalized derivations and automorphism structures.

References

N. Nobusawa, “On a Generalization of the Ring Theory,” *Osaka Journal of Mathematics*, vol. 1, pp. 81–89, 1964.

W. E. Barnes, “On the Γ-Rings of Nobusawa,” *Pacific Journal of Mathematics*, vol. 18, no. 3, pp. 411–422, 1966.

F. J. Jing, “On Derivations of Γ-Rings,” *Qu Fu Shi Fan Daxue Xuebao*, vol. 13, no. 4, pp. 159–161, 1987.

M. Sapanci and A. Nakajima, “Jordan Derivations on Completely Prime Γ-Rings,” *Mathematica Japonica*, vol. 46, no. 1, pp. 47–51, 1997.

A. K. Faraj, *On Higher Derivations and Higher Homomorphisms of Prime Rings*, Ph.D. dissertation, Univ. of Technology, 2006.

J. C. Chang, “Γ-Derivations with Invertible Values,” *Bulletin of the Institute of Mathematics Academia Sinica*, vol. 13, 1985.

M. Bresar and J. Vukman, “On Some Additive Mappings in Rings with Involution,” *Aequationes Mathematicae*, vol. 38, pp. 178–185, 1989.

A. H. Majeed and S. M. Salih, “Jordan Higher Derivations on Prime Γ-Rings,” *Education College Conference*, Al-Mustansiriya University, 2009.

A. H. Majeed and S. M. Salih, “Jordan Generalized Higher Derivations on Prime Γ-Rings,” *Education College Conference*, Al-Mustansiriya University, 2009.

S. M. Salih and H. J. Thahab, *On the Orthogonal Γ-Derivation of Semiprime Γ-Rings*, Ph.D. dissertation, Al-Mustansiriya University, 2013.

A. Aboubakr and S. Gonzalez, “Generalized Reverse Derivations on Semiprime Rings,” *Siberian Mathematical Journal*, vol. 56, no. 2, pp. 199–205, 2015.

Z. S. M. Alhaidary and A. H. Majeed, “Commutativity Results for Multiplicative Generalized (α, β)-Reverse Derivations on Prime Rings,” *Iraqi Journal of Science*, vol. 62, no. 9, pp. 3102–3113, 2021.

C. Jaya Subba Reddy and Sk. Haseena, “(α, 1)-Reverse Derivations on Prime Near-Rings,” *International Journal of Algebra*, vol. 15, no. 4, pp. 165–170, 2021.

A. H. Majeed and N. N. Suliman, “On Orthogonal Generalized Derivations of Semiprime Gamma Ring,” *International Journal of Computational Science and Mathematics*, vol. 4, no. 2, pp. 113–122, 2012.

M. S. Samman and N. Alyamani, “Derivations and Reverse Derivations in Semiprime Rings,” *International Mathematical Forum*, vol. 2, no. 39, pp. 1895–1902, 2007.

S. M. Salih and N. M. Khazal, “Orthogonal Generalized Higher Reverse Derivations on Semiprime Rings,” *International Journal of Applied Science and Technology*, vol. 8, no. 1, pp. 24–36, 2018.

M. S. Yenigul and N. Argac, “On Prime and Semiprime Rings with α-Derivations,” *Turkish Journal of Mathematics*, vol. 18, pp. 280–284, 1994.

A. Asma and A. Bano, “Multiplicative Generalized Reverse Derivations on Semiprime Ring,” *European Journal of Pure and Applied Mathematics*, vol. 11, no. 3, pp. 717–729, 2018.

A. H. Majeed and S. M. Salih, “Jordan Generalized Higher Derivations on Prime Γ-Rings,” *Education College Conference*, Al-Mustansiriya University, 2009.

V. S. V. Krishna Murty, C. J. S. Reddy, and Sk. Haseena, “Orthogonal Generalized (σ, τ)-Derivations on an Ideal of a Semiprime Ring,” *JP Journal of Algebra Number Theory and Applications*, vol. 63, no. 6, 2024.