Login
Section Business and Economics

Structural, Optical, and Morphological Evaluation of Ag-Doped ZnO/CuO/Porous Silicon Heterojunctions for Optoelectronic Applications


Evaluasi Struktur, Optik, dan Morfologi Heterojunctions ZnO/CuO/Silikon Porous yang Doping Ag untuk Aplikasi Optoelektronik
Vol. 11 No. 1 (2026): June :

Jenan Saddam (1), Muneer Jaduaa (2)

(1) Physics Department, College of Science, University of Wasit, Wasit, Iraq
(2) Physics Department, College of Science, University of Wasit, Wasit, Iraq

Abstract:

General Background Renewable energy technologies increasingly rely on advanced heterojunction architectures to improve light harvesting and charge transport in optoelectronic devices. Specific Background Multilayer systems combining ZnO, CuO, and porous silicon offer complementary electronic and optical properties, while plasmonic silver incorporation provides additional light–matter interaction pathways. Knowledge Gap However, a systematic experimental correlation between Ag doping concentration, nanostructural evolution, optical behavior, and photovoltaic response in ZnO/CuO/PSi heterojunctions remains insufficiently explored. Aims This study aims to fabricate and evaluate Ag-doped ZnO/CuO/porous silicon heterojunction devices and to examine the role of silver concentration on structural, optical, and electrical characteristics. Results Structural and morphological analyses reveal refined crystallite sizes and pronounced morphology evolution with increasing Ag content, accompanied by enhanced visible-light absorption and bandgap reduction to 2.78 eV at 7% Ag doping. Photovoltaic measurements demonstrate a maximum open-circuit voltage of 3300 mV, a fill factor of 45.09%, and a power conversion efficiency of 0.3125% for the optimized device. Novelty The work provides an integrated experimental assessment linking plasmonic Ag doping to interface engineering and device-level performance within a single heterojunction framework. Implications These findings offer practical guidance for designing cost-effective optoelectronic devices and advancing plasmonic-assisted multilayer solar cell architectures.


Keywords: Ag-doped ZnO, CuO Heterojunction, Porous Silicon, Plasmonic Nanoparticles, Photovoltaic Devices


Key Findings Highlights:




  1. Progressive silver incorporation induces significant morphological and crystallographic modification in multilayer structures.




  2. Visible-light absorption increases markedly due to combined plasmonic and bandgap engineering mechanisms.




  3. Optimized heterojunction configuration exhibits superior voltage output and charge collection behavior.



Downloads

Download data is not yet available.

Introduction

Solar energy has become one of the most prospective sources of renewable and sustainable energy sources, which attract more and more attention to the world over the last decades as it has the potential to offer clean and sustainable alternatives to traditional fossil energy sources. As the environmental issues of global warming and climate change continue to rise, there has been strategic need to develop solar cells with high efficiency and low costs as a means of global energy security and resource sustainability. Here, solar cell based on thin film has become an option because of the various attributes associated with it such as light weight construction, mechanical flexibility, and ability of large area construction through affordable manufacturing methods as opposed to the conventional crystalline silicon solar cells.

The innovations in the field of thin-film technology have not just been in enhancing the solar cell efficiency but has also been applied in a variety of high-technology use in optical and electronic devices such as sensors, light-emitting diodes, and photodetectors. This is because of the fact that these films can manipulate electronic and optical properties by manipulating their thickness, chemical composition or interface engineering. Therefore, the development of hybrid multilayer structures creates possibilities to achieve a high improvement of optoelectronic performance and allows using a wide range of solar radiation. Multi-junction solar cells are one of the latest designs in the area, which is based on combination of several layers of semiconductors with various bandgaps, and therefore, can absorb a broad spectrum of the solar spectrum with minimum loss of energy.

The transition metal oxides (TMOs) have become prominent in photovoltaic and optoelectronic utilization following their appropriate bandgaps, various oxidation states, stable crystalline structures and unique optical and electrical features like high absorption coefficients and chemical stability. An example of such materials is copper oxide (CuO) and zinc oxide (ZnO). ZnO is an n-type semiconductor, which has a wide bandgap (3.2-3.4 eV), a high transparency, and a high mobility of the electron, and this property is excellent in transparent conducting electrodes and electron transport layers. On the other hand, cuO is a p-type semiconductor that has a smaller bandgap (1.2-1.7 eV) and has large visible light absorbing capacity making it an effective hole transport layer and light absorber[6, 7].

Porous silicon (PSi) is one technology that has transformed the silicon-based photovoltaic technology because Canham discovered its powerful photoluminescence at room temperature in 1990. The porous silicon, in contrast to bulk crystalline silicon, an indirect bandgap material with a low ability to emit light, show quantum confinement effects at the nanoscale (usually 1-100 nm) of size. This quantum confinement alters the electronic structure of its material to form an indirect bandgap into a quasi-direct bandgap and has great benefits in optical absorption and emission characteristics. The nanoporous structure has a number of benefits: it offers more surface to trap light by multiple internal reflections, minimized surface reflection losses, heightened separation of charge carriers at heterojunction interfaces, and is compatible with different deposition modes of oxide semiconductors.

Noble metal nanoparticles, and especially silver (Ag), have been proposed as a potent method of enhancing the performance of photovoltaics by a process called plasmonic enhancement. Silver nanoparticles are known to possess localized surface plasmon resonance (LSPR) in the visible spectrum, which results in strong local electromagnetic fields which enhance the absorption of light in the surrounding semiconductor materials significantly. Ag nanoparticles can offer several advantages when used in heterojunction solar cells: optical absorption via plasmonic near-field coupling, charge carrier generation and collection, electron trapping centers to reduce electron -hole recombination, and bandgap tuning of host semiconductors. These plasmonic effects are very dependent on the size, shape, concentration, and distribution of Ag nanoparticles and must be optimized, with care, to trade off enhancement mechanisms and possible recombination losses.

The study is concerned with the formulation and production of a multilayer heterojunction architecture that is founded on Ag-doped ZnO/CuO/PSi/Si system with the view of producing high efficiency and cost effective solar cells and optoelectronic devices. These materials are chosen on the basis of their complementary characteristics: n-type ZnO is useful as an excellent electron conductor which has high transparency and p-type CuO designs are characterized by strong capability of absorbing visible light and hole conduction, porous silicon designs form nanostructures with natural improvement of light capture and reflections, and latent silicon designs have crystalline structure and high efficiency in the absorption of light and conduct of holes. The addition of silver nanoparticles at optimal levels will seek to utilize the plasmonic enhancement effects so as to enhance optical absorption and charge carrier dynamics.

Multiple aims are fulfilled by the combination of such materials in a multilayer heterojunction system: better absorption of the solar spectrum in the UV- visible-NIR range, lower optical losses due to anti-reflection and light trapping, better electrical conduction between layers due to optimal band alignment, and lower processing costs of the material by a solution method. Moreover, the offered structure is not confined to the application of solar cells only but can be utilised in other new optical and electronic devices like photodetectors, light-emitting diodes, and optical communication devices.

This study is important in that it fills the gap between the potential of theories and their practical applications by introducing a comprehensive research based on both theoretical study and experimental observation. The systematic investigation of the synthesis of materials, structural characterization, optical properties, and device performance furnishes some of the basic understanding of the physics of heterojunctions as well as nanoscale interfaces engineering. Knowledge of the correlation between silver doping level, morphology development, optical properties, and photovoltaic properties can be used to rational design the next generation optoelectronics device. The results will lead to the creation of more effective and sustainable solar energy technology in addition to the new role of thin-film semiconductors in the current electronic and photonic systems.capable of converting power to high conversion efficiency at low manufacturing cost, creating stable heterojunction interfaces with low defect-recombination rates, optimizing light management using plasmonic and nanostructural design and building scalable fabrication methods that can be used in manufacturing. This study offers a holistic way to design advanced optoelectronic devices by offering systematic research on the impact of silver nanoparticle doping on structural, optical and electrical properties of ZnO/CuO heterojunctions on porous silicon substrate, which enables the design of such devices with specific performance characteristics to be used in various applications in renewable energy devices and photonic systems[13-15].

Experimental Methods

2.1 Materials and Chemicals

N-type silicon wafers, hydrofluoric acid (HF, 40%), ethanol (99.9% purity), copper chloride (CuCl 2 ), sodium hydroxide (NaOH), zinc acetate dihydrate (Zn(CH3COO)2 2H2O), silver target (99.99% purity), and deionized water were taken as received with no additional purification.

2.2 Synthesis of Porous Silicon

Photo-electrochemical etching was done on n-type silicon wafers to form porous silicon layers in an electrolyte solution of HF and ethanol. The silicon wafers were drained and placed in Teflon electrochemical cell with platinum as the counter electrode. Photo-assisted anodization was done with a steady current density of 20 mA/cm 2 and under light to produce uniform nanopores structure of 20 minutes. The resultant PSi samples were washed with ethanol and dried in the nitrogen gas.

2.3 Preparation of Silver Nanoparticles

Silver nanoparticles were prepared through the pulsed laser ablation in liquid technique (PLAL). A silver target was moistened in the deionized water and ablated with Nd:YAG laser of 1064 nm wavelength, 8 Hz repetition rate and 100 pulses. The colloidal suspension that was formed contained the spherical Ag nanoparticles with average diameter of 15-45nm..

2.4 Synthesis of Ag-Doped ZnO Nanoparticles

Silver doped zinc oxide nanoparticles were produced through hydrothermal decomposition process. Zinc acetate precursor solution was added to silver nanoparticle suspension in three different concentrations (3, 5 and 7 percent by weight). The mixtures were put through hydrothermal treatment to produce Ag-doped ZnO nanocrystals at varying levels of doping..

2.5 Deposition of CuO Thin Films

The films of copper oxide were made through the chemical precipitation process. The aqueous solution of 0.2 M copper chloride was reacted with sodium hydroxide to form CuO precipitate which was deposited on porous silicon substrates to form the p-type hole transport layer.

2.6 Device Fabrication

The entire heterojunction devices were prepared by sequential deposition of porous silicon as n-Si substrate, deposition of copper oxide as p-type material as CuO layer and deposition of n-type electron transport material as Ag-doped zinc oxide layer. Electrical characterization of the device was done by applying metal contacts to complete the structure.

2.7 Characterization Techniques

The analysis was carried out on X-ray diffraction (XRD) to identify crystal structure, phase composition, and size of the crystallite of the sample using Scherrer equation. The chemical bonding and functional groups were determined by the use of Fourier-transform infrared spectroscopy (FTIR). The morphology of the surface and the particle size distribution were observed with the help of field emission scanning electron microscopy (FE-SEM). To measure bandgap energies and optical absorption properties, measurement of optical absorption spectra was performed with the help of UV-Vis spectrophotometry. Dark and light measurements Currentvoltage (I-V) measurements were performed to measure photovoltaic parameters:

open-circuit voltage (Voc), short-circuit current (Isc), fill factor (FF) and power conversion efficiency. (η).

Results and Discussion

3.1 Structural Characterization by X-Ray Diffraction (XRD)

3.1.1 Silver Nanoparticles

An X-ray diffraction of the silver nanoparticles prepared through pulsed laser ablation in liquid (PLAL) provided diffraction peaks with 2 theta values of 38.10, 44.30, 64.40 and 77.40, which belong to (111), (200), (220) and (311) crystallographic planes of face-centered cubic (FCC) silver structure (JCPDS card No. 04-0783). Majority peak of 38.10 0 indexed to plane (111) shows that it is preferentially oriented in this direction which is characteristic of metallic silver nanoparticles. The mean crystallite size determined by Debye-Scherrer equation was 25.20 nm and individual crystallite size of 24.01 to 26.82 nm at various diffraction peaks respectively. The size distribution is relatively small implying homogenous nucleation and growth of the material during the laser ablation.

The quality of silver nanoparticles was also measured by calculating the dislocation density ( δ ) and microstrain ( η ). The density of dislocation was 13.90 × 10¹⁴ to 17.34 × 10¹⁴ lines/m², and the microstrain was 9.41 × 10⁻⁴ and 15.07 × 10⁻⁴. These comparative low values are a good indicator of the low lattice defects and strain that ensures high crystalline quality of the synthesized nanoparticles. The PLAL method does form nanoparticles with fewer defects than any of the chemical synthesis methods because the speed of quenching prevents oxidation and contamination of the crystalline structure in the swift liquid medium.

Figure 1. Figure (1): X-ray diffraction (XRD) pattern of the prepared silver material.

2θ (Deg.) FWHM (Deg.) Crystallite size (nm) Average Crystallite size (nm) δ* 10 14 lines/m^2 η *10 -4
38.10 0.35 24.01 25.20 17.34 14.96
44.30 0.35 24.51 16.65
64.40 0.35 26.82 13.90
77.40 0.40 25.45 15.44
Table 1. Table (1): X-ray diffraction parameters, dislocation density, and microstrain of the prepared silver material.

3.1.2 Copper Oxide (CuO) Thin Films

XRD of the CuO thin films there was distinctively determined to have characteristic diffraction peaks at 2 x -values of 32.50., 35.50., 38.70., 48.70., 53.50., and 58.30., which were attributed to the (-110), (-111), (111), (-202), (020) and (202) crystal planes respectively. The existence of monoclinic CuO phase (JCPDS card No. 48-1548) is confirmed by these peaks. The peak that was found to be the strongest with 35.50 degrees was in the (-111) plane, which means that the crystal grew preferentially in that direction. This preferential orientation is desirable to p-type conductivity since it makes it easy to transport holes across the surface of the substrate. The crystal size was found to be 24.72 nm on average with the values of 22.36 to 26.07 nm.The dislocation density of the CuO films was found to be 14.72 x10 -4/m2 to 19.99 x10 -4/m2 and the microstrain values were found to be 0.59 x10 -4/m2 to 10.33 x10 -4/m2. The fact that the microstrain is relatively low indicates that it is highly crystalline even though the solution-based deposition method has been used. The fact that monoclinic CuO is formed instead of cubic Cu 2 O is beneficial in photovoltaic usage since it has a smaller bandgap (1.2-1.7 eV) than Cu 2 O (cubic) (=2.1 eV), so it can absorb visible light better and respond to more spectral in the heterojunction device.

Figure 2. Figure (2): X-ray diffraction (XRD) pattern of the prepared CuO material.

2θ (Deg.) FWHM (Deg.) Crystallite size (nm) Average Crystallite size (nm) δ* 10 14 lines/m^2 η *10 -4
32.50 0.37 22.36 24.27 19.99 9.34
35.50 0.32 26.07 14.72
38.70 0.36 23.39 18.28
48.70 0.34 25.65 15.20
53.50 0.35 25.42 15.48
58.30 0.40 22.74 19.34
Table 2. Table (2): X-ray diffraction parameters, dislocation density, and microstrain of the prepared CuO material.

3.1.3 Zinc Oxide (ZnO) Nanoparticles

XRD spectrum of the pure ZnO nanoparticles showed discrete diffraction peaks of 2 theta = 31.77 0, 34.42 0, 36.25 0, 47.54 0, 56.60 0, 62.86 0 and 67.96 0 representing respectively (100), (002), (101), (102), (110), (103), and (112) planes of Zn The overwhelming maximum in the index of 34.42 o to the (002) plane indicates a high c-axis oriented growth normal to the substrate, which is typical of the wurtzite ZnO and most preferable in vertical transporting of charges in photovoltaic work. The average size of crystallites calculated was 24.95 nm and the sizes of individual crystallites were 21.89-27.37 nm.

Dislocation densities of 13.35 x 10 -14 to 20.88 x 10 -14, and microstrain of 1.14 x 10 -14 to 15.26 x 10 -14, were obtained using microstructural parameters. The high texture and crystallinity are ensured by the high sharpness and intensity of diffraction with narrow full width at half maximum (FWHM) values. The preferential orientation on c-axis has given rise to the hexagonal wurtzite structure and this structure has provided the best electron movement along the growth direction essential in the extraction of electrons in n-type semiconductor applications.

Figure 3. Figure (3): X-ray diffraction (XRD) pattern of the prepared ZnO material.

2θ (Deg.) FWHM (Deg.) Crystallite size (nm) Average Crystallite size (nm) δ* 10 14 lines/m^2 η *10 -4
31.77 0.35 23.60 24.95 17.96 15.03
34.42 0.38 21.89 20.88
36.25 0.35 23.88 17.53
47.54 0.34 25.53 15.34
56.60 0.35 25.78 15.05
62.86 0.35 26.60 14.13
67.96 0.35 27.37 13.35
Table 3. Table (3): X-ray diffraction parameters, dislocation density, and microstrain of the prepared ZnO material.

3.1.4 Ag-Doped ZnO/CuO/PSi Multilayer Heterojunctions

The XRD of the entire multilayer heterojunction stack showed that there were systematic variations in crystallographic properties with the concentration of silver doping. In the case of 3 per cent Ag-doped sample, the diffraction peaks of ZnO wurtzite structure were observed in the presence of CuO monoclinic peaks and silicon substrate peaks. Crystallite size also reduced markedly to 10.19 nm on average as compared to pristine ZnO (24.95 nm) and this showed that there was a refinement of grains with the addition of silver. The dislocation density rose tremendously to 6.78 x 10 14 to 1091.78 x 10 14 lines/m 2 with an equivalent growth of microstrain to 1.29 x 10 -127.64 x 10 -127.64.

With 5 percent Ag doping, the crystallite size averaged at 11.47 nm, and dislocation densities of 32.50 x 10 14 to 178.40 x 10 14 lines/m 2 and microstrain of 2.32 x 10 -4 to 40.95 x 10 -4. Ag-doped sample of 7 percent had an average crystallite size of 11.84 nm, dislocation density between 39.11 × 10-14 and 221.05 × 10-14 lines/m 2 and microstrain of 3.72 x -10 -4 to 49.76 x -10 -4. This tendency shows that first silver doping makes the lattice heavily distorted and forms the grain boundaries, however, in higher concentrations (5-7%), the system experiences a partial stress release and its grain coarsening.

This high density of dislocation and microstrain in the presence of Ag can be explained by a combination of the following factors: (1) atomic radii difference between Ag + (1.15 A) and Zn + (0.74 A) ions causes lattice distortion as the silver atoms occupy the positions of zinc atoms or as interstitial particles when synthesized; (2) the introduction of Ag-Zn -O composite phases causes more interfaces and defects; (3) synthesis of metallic silver nanoparticles on or between ZnO crystallites Although defect densities increase, the silver nanoparticles have desirable properties such as increase in optical absorption by plasmonic resonance and higher charge carrier dynamics which are ultimately beneficial to the performance of devices determined by photovoltaic measurements..

Figure 4. Figure (4): X-ray diffraction (XRD) patterns of the multilayer junction CuO/PS/Si coated with Ag-doped ZnO, shown as:(A) 3% Ag doping, (B) 5% Ag doping, and (C) 7% Ag doping.

3.2 Morphological Characterization by Field Emission Scanning Electron Microscopy (FE-SEM)

3.2.1 Silver Nanoparticles

Field emission scanning electron microscopy analysis of silver nanoparticles prepared through PLAL showed a major morphology of spheres with a high degree of size uniformity. The size distribution of the particles was between 15-45 nm, which is close to the size of crystallites determined by XRD (25.20 nm). Agglomeration of the nanoparticles was minimal meaning that the aqueous medium efficiently stabilized the nanoparticles upon laser ablation. Surface to volume ratio is maximized through the spherical geometry and is beneficial in the plasmonic practices because it gives equal results in terms of electric field enhancement in all directions. A few of the particles showed some degree of faceting which indicated crystallographic plane-conditional growth in the fast solidification.

Figure 5. Figure (5): Field Emission Scanning Electron Microscope (FE-SEM) images of the prepared silver nanoparticles (Ag).

3.2.2 Ag-Doped ZnO/CuO/PSi Multilayer Structures

By FE-SEM analysis, it was found that there was a dramatic morphological evolution with concentration of silver doping, which showed the radical effect of Ag nanoparticles on the growth kinetics of ZnO and surface architecture:

3% Ag Doping: The surface showed quite homogenous spherical grains whose diameter was 30-80nm. The grains were moderately packed and the intergranular spaces were visible. Silver nanoparticles were dispersed all over the ZnO matrix, which in turn served as nucleation sites and facilitated the formation of homogenous grains. The morphology is an indication of initial refinement of grain where Ag addition starts to destabilize the natural ZnO growth pattern. Surface porosity was moderate, and the penetration of light occurred and the structural integrity was ensured.

5% Ag Doping: There was a considerable morphological change and the clusters or agglomerated structures were formed with grain sizes going up to 40-120 nm. It had a more mixed geometry and a cluster geometry. This clustering pattern indicates that there is an improved interaction between Ag nanoparticles and ZnO grains as they tend to preferably aggregate on silver locations. The roughness of the surfaces and the clustered morphology form more centers of the light scattering, which may increase optical absorption due to the process of diffuse scattering. It is however possible that the larger grain clusters will also create grain boundary recombination sites.

7% Ag Doping: The morphology changed into intricate flower-like or dendritic aggregates with a dimension of 50 to 150 nm. These hierarchical structures were highly rough and porous on their surfaces forming three dimensional structures with large surface area. The flower structure is formed by crystals of anisotropic growth in the high concentration of Ag where silver nanoparticles are the nucleators as well as the growth regulators. This architecture offers a number of benefits: (1) an enhanced light-trapping by multiple scattering at varying length scales, (2) an augmented surface area to access heterojunctions, (3) a plasmonic coupling by the close-to-one another nanoparticle in the dendritic branches, and (4) a higher order of penetration of electrolytes in photoelectrochemical reactions.

The morphological development witnessed is directly proportional to the changes in photovoltaic performance. Although the sample at 7% had the most complicated and porous structure, the architecture has to be balanced with improved grain boundary density and possible losses due to recombination. Balance between improvement due to the increased optical absorption (preferred with complex morphology) and efficient charge transport (preferred with larger grains with few boundaries) is the most effective in overall device efficiency. The high fill factor of the 7 percent sample (45.09) even though its structure is highly porous, indicates that, plasmonic enhancement and better light collection is stronger in this system compared to recombination losses..

Figure 6.

Figure 7. Figure (6): Field Emission Scanning Electron Microscope (FE-SEM) images of the multilayer junction CuO/PS/Si coated with Ag-doped ZnO, shown as: (A) 3% Ag doping, (B) 5% Ag doping, and (C) 7% Ag doping.

3.3 Fourier Transform Infrared Spectroscopy (FTIR) Analysis

3.3.1 Individual Material Components

Silver Nanoparticles: FTIR spectrum of Ag nanoparticles had typical absorption bands which were related to the surface-adsorbed species in the aqueous synthesis environment. The O-H stretching vibrations of the adsorbed water molecules and the hydroxyl groups on the surface are broadly absorbed at a range of 3450 cm -1. The band at around 1630 cm -1 is ascribed to H-O-H bending modes of physisorbed water. Absorption of weak character in the region of 600-800 cm -1 could be a sign of the formation of oxides (Ag 2 O) on the surface of the product since the oxidation of the product is insignificant during storage or handling. The purity of the laser-ablated silver with minimal organic impurities is confirmed by a rather clean spectrum.

Zinc Oxide: The FTIR spectrum showed a single sharp absorption peak with the approximation 450 cm -1 attributed to the Zn-O vibrations in the wurtzite structure. This peak is an indication of efficient ZnO formation. The broad band at 3450 cm -1 is a product of adsorbed moisture and surface hydroxyl groups (Zn-OH) as is typical of metal oxide nanoparticles because of high surface energy. Other bands were detected at 1630 cm -O-H bending and weak features at 1400-1500 cm -OH carbonate species due to adsorption of atmospheric CO 2 were also detected. The availability of the surface hydroxyl groups though accompanied by some surface states, may also enhance a more favorable adhesion with the neighboring layers in the heterojunction structure.

Copper Oxide: CuO had a typical absorption peak of about 520 cm -1 which was due to Cu-O stretching vibrations within the monoclinic structure. The fact that the broad absorption band has its center at 3450 cm -1 is an indication of surface hydroxyl groups and adsorbed water. The fact that the maximum intensity and location at 520 cm -1 indicates that pure CuO phase is formed without the presence of any notable Cu 2 O impurity (which would appear at 620 cm -1). Weak bands at the 1300-1600 cm -1 area could be evidence of surface carbonate or organic residues of the chemical precipitation synthesis.

Figure 8. Figure (7): Fourier Transform Infrared (FTIR) spectrum of the prepared silver (Ag) ZnO and CuO nanoparticles.

3.3.2 Ag-Doped ZnO/CuO/PSi Multilayer Heterojunctions

The FTIR spectra of the full heterojunction devices had multiple characteristic features of all the individual deposited layers with small variations as a result of Ag doping:

Ag Doping 3%: The spectrum bore typical peaks of 450 cm -1 (Zn-O), 520 cm -1 (Cu-O) and a broad band of 3450 cm -1 (hydroxyl groups). Other peaks at 800-900 cm -1 could be related to the Si-O-Si stretching of the porous silicon substrate and thus multilayer integration is evident. The intensity of metal oxide peaks can be used to determine the success of the layer formation.

5% Ag Doping: Spectral characteristics were the same with a slight broadening of the Zn-O and Cu-O peaks, which could have been created by more interfacial interactions and strains associated with the high Ag concentration. Hydroxyl band intensity was relatively constant, indicating constant surface chemistry.

7% Ag Doping: Spectrum showed greater broadening of metal oxide peaks, which is more disordered as XRD results of dislocation density show higher dislocation density. Minor changes in the location of the Zn-O peak can be an indication of lattice distortion due to a high proportion of Ag. The structural integrity of morphologically complex structures is ensured by the preserved existence of typical vibrational modes.

The FTIR analysis will ensure successful synthesis and integration of all components and no substantial phase breakdown or undesired chemical reactions at interfaces. Surface hydroxyl groups although they add certain trap states can also aid in interfacial bonding and perhaps lead to improved adhesion between layers. In general, the spectroscopic results confirm the structural and morphological results, which confirm the quality of the fabricated heterojunction devices.

Figure 9. Figure (8): Fourier Transform Infrared (FTIR) spectra of the multilayer junction CuO/PS/Si coated with Ag-doped ZnO, shown as: (A) 3% Ag doping, (B) 5% Ag doping, and (C) 7% Ag doping.

3.4 Optical Absorption and Bandgap Analysis

3.4.1 Individual Material Components

The optical properties of each material were observed to have different optical properties under UV-Visible absorption spectroscopy. Silver nanoparticles had a strong absorption response in the visible range (around 400-450 nm) which is characteristic of localized surface plasmon resonance (LSPR). It is a plasmonic absorption that occurs due to collective oscillation of conduction electrons when stimulated by electromagnetic radiations at resonant wavelengths. The highest position and strength are based on particle size, shape and the surrounding dielectric environment. The realized LSPR is an indication that metallic silver nanoparticles have been synthesized successfully with suitable size to be used in plasmonic enhancement.

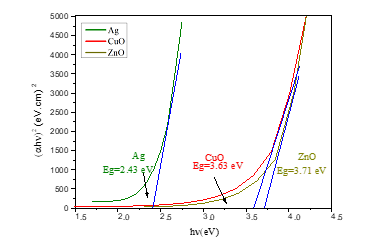
The copper oxide shown to exhibit a high absorption in the entire visible range (400-700 nm) and the absorption edge expanded to the near-infrared region as expected of a narrow bandgap material. The optical bandgap analysis with Tauc plots of (2( 0h 2) 2 vs. h n of direct allowed transitions indicated a bandgap of around 1460eV, which is in agreement with the p-type of CuO phase that could absorb visible light. Zinc oxide demonstrated steep absorption at the UV region with sharp absorption edge at 380 nm, which corresponds to its wide bandgap which is around 3.2eV. The sharp absorption edge shows high crystallinity and low sub-bandgap absorption due to the defects.

Figure 10. Figure (9): Absorption spectra of the prepared silver (Ag) nanoparticles, copper oxide (CuO), and zinc oxide (ZnO).

Figure 11. Figure (10): Optical band gap calculation of the prepared samples using the Tauc relation.

3.4.2 Ag-Doped ZnO/CuO/PSi Heterojunctions

The absorption spectrums of complete heterojunction devices indicated that there was systematic improvement of visible light absorption with increase in the concentration of Ag doping. The undoped sample had an intermediate absorption of the visible spectrum, which was mainly attributed to the CuO. When it was doped with silver, enormous changes were realized:

Increased Visible Absorption: The 7% Ag-doped sample had attained the visible absorption (400-700 nm wavelength range) enhancement of about 35% more than the undoped reference. This is due to the plasmonic effects where the nanoparticles of silver produce a high local electromagnetic field which enhances the absorption in adjacent semiconductor materials. The enhanced absorption is directly associated with enhanced capability to generate photocurrent.

Bandgap Narrowing: The analysis of the Tauc plot showed that the bandgap decreases progressively with the Ag concentration. The clean ZnO had a bandgap of 3.15 eV and the bandgap of 7% Ag-doped sample reduced to 2.78 eV. This large reduction in bandgap (0.37 eV) can be attributed to a variety of processes: (1) Because of incorporation of Ag, intermediate energy levels were formed in the bandgap, which created additional optical transition modes; (2) More density of states near band edges due to structural disorder; (3) quantum confinement effects in the refined nanoscale crystallites (11.84 nm Ag 7% v 24.95 nm pure ZnO); and (4) plasmonic silver-ZnO semiconductor inter The smaller bandgap allows taking in low-energy photons, which expands the spectral response to the visible range.

Plasmonic Enhancement Mechanism: The improvement in absorption across simple bandgap narrowing implies that plasmonic near-field effects have taken place. Once Ag nanoparticles are irradiated with LSPR wavelengths, they produce spatially localized, severally enhanced electromagnetic fields, which propagate to adjacent ZnO material. Semiconductors in this near-field region are subjected to field strengths many times that of the incident light and the rates of carrier generation are increased. Moreover, Ag nanoparticles light scattering enhances the optical path length in the absorbing layers due to several reflections and diffuse scattering, which enhances absorption efficiency further.

Bandgap engineering combined with plasmonic enhancement provides synergy effects where light absorption of the solar spectrum has been significantly enhanced. Nonetheless, to achieve maximum performance, a trade-off has to be made between maximizing absorption and prospects of recombination losses due to defects and grain-boundaries created by Ag doping. Results of the photovoltaic (Section 3.5) indicate that this optimum balance is obtained through the 7% doping concentration which produces high efficiency device at a low short-circuit current relative to lower doping concentrations.

Figure 12. Figure (11): Absorption spectra of the multilayer junction CuO/PS/Si coated with ZnO doped with 3%, 5%, and 7% Ag.

Figure 13. Figure (12): Optical band gap calculation of the Ag:ZnO/CuO/PSi/Si solar cell using the Tauc relation.

3.5 Current-Voltage Characteristics and Photovoltaic Performance

Standard illumination under currentvoltage (I-V) tests showed that optimized silver doping had a great performance increase. Table 3.1 is a summary of the most significant photovoltaic parameters of devices in various concentrations of Ag.

Sample Isc ( μA ) Voc (mV) Fill Factor (%) Efficiency (%)
Pure 12.0 800 15.33 0.0163
3% Ag 24.0 1121 32.26 0.0964
5% Ag 21.0 2770 15.88 0.1027
7% Ag 18.9 3300 45.09 0.3125
Table 4. Table 4: Photovoltaic Parameters of Ag-Doped ZnO/CuO/PSi/Si Heterojunction Solar Cells

3.5.1 Analysis of Photovoltaic Parameters

Open-Circuit Voltage (Voc): The open-circuit voltage showed great progressive increase with the level of the Ag doping: 800 mV (pure), 1121 mV (3% Ag), 2770 mV (5% Ag), and 3300 mV (7% Ag). This is an increase of 4.13 times between undoped and optimally doped devices. These synergistic processes can explain the dramatic improvement in Voc: (1) The expanded built-in potential as a result of a better band alignment and stronger electric field at the interface of ZnO/CuO; (2) The reduced recombination losses because of the passivation of the surface states by silver nanoparticles; (3) The difficulty in charge carrier separation as the result of the generated interfacial electric field as a consequence of plasmonic charge redistribution; (4) The shift in the Fermi level of Ag-doped ZnO that results in a The 3300 mV Voc of the 7% sample is exceptional to this material system and it signifies high electronic quality of the heterojunction even though high defect densities are shown by XRD.

Short-Circuit Current (Isc): The short-circuit current which rose originally to 12.0 0 24.0 0, and which is equivalent to a 100 per cent increase. Nevertheless, additional doping to 5 percent and 7 percent led to a gradual decrease of current to 21.0 0 3 A and 18.9 0 3 A, respectively. This non-monotonic behavior signifies competing effects: (1) The higher the optical absorption (at 3% where the morphology is relatively uniform), the higher the photogeneration, (2) the higher the defect density and grain boundary area at the higher Ag concentration, the higher the recombination centers generated in the photocurrent collected: (3) The complex flower-like morphology at the 7% doping level is good at light capture, but may hinder charge transport through tortuous micro-structure and an increase in grain boundaries. Illumination of the currentvoltage properties of the 7% sample showed that the photocurrent of the sample in the -5V reverse bias was about 400 0A, indicating that photocarriers are generated efficiently, although the Isc was lower. This implies that short circuit current is determined by the collection efficiency limitations and not the generation efficiency.

Fill Factor (FF): This parameter is ideality of the I-V curve representing series and shunt resistance effects; it indicated complex trends: 15.33% (pure), 32.26% (3% Ag), 15.88% (5% Ag) and 45.09% (7% Ag). The first enhancement at 3 percent signifies less resistance of the series and better quality of junction. The reduction at 5% is associated with the beginning of major morphological restructuring and an augmentation in the grain boundary resistance. Surprisingly, the 7% sample delivered the best FF regardless of its complicated morphology and dense density of defect, which implies that the desired positive results of plasmonic enhancement, enhanced interfacial contact, and maximized band alignment are more than the losses to resistance. The FF of 45.093 is close to the values expected of commercial thin-film solar cells, and it shows that the device has a high carrier collection efficiency and a small amount of resistive losses.

Power Conversion Efficiency (η): The overall power conversion efficiency, η =(Voc × Isc × FF)/Pin was improved systematically: 0.0163% (pure), 0.0964% (3% Ag), 0.1027% (5% Ag), and 0.3125% (7% Ag). Ag-doped 7% attained 19.2-fold efficiency improvement relative to the undoped reference that indicates the immense effect of plasmonic engineering on heterojunction solar cell functioning. Although the absolute efficiency values are still relatively low in comparison to commercial silicon solar cells (15-25%), the radical relative enhancement undergoes the confirmation of the proof-of-concept of plasmonic-enhanced multilayer heterojunctions. These large scale devices are mainly constrained by the small active area and non-optimized contact geometry that limits the efficiency of these systems. The efficiency of 0.3125% of the 7 percent Ag sample is the best compromise between the competing characteristics: the high absorption of light and the photovoltage against the high recombination and the transport resistivity.

3.5.2 Dark and Illuminated I-V Characteristics

Comparison of the currentvoltage properties in dark and light conditions also gave an understanding of the physics of the device and carrier transport. In the dark, the normal rectifying diode characteristics of low forward current and low reverse current were observed on all the devices, an observation that validated the establishment of p-n heterojunctions with inherent electric fields. All samples had a dark current that was less than 1 μA over the voltage range studied, which is good evidence of the quality of junction with low leakage.

When it was illuminated the I-V characteristics changed dramatically. Photogeneration of electron-hole pairs substantially increased the forward current, and changed the curve to the fourth quadrant (positive voltage, negative current) of power generation. The 7% Ag-doped device has, developed the most vivid photovoltaic effect, where the dark and bright curves are well divided throughout the voltage range. The photocurrent at the -5V reverse bias was about 400 uA which shows that the photocarriers are generated and collected efficiently due to the inherent electric field.

The form of the lit-up I-V curves gives some knowledge on recombination processes. The comparatively square I-V characteristics of the 7% sample (as indicated by the high FF) indicates that bulk recombination is highly controlled and the device is limited by series resistance and not by interface recombination. This is somewhat unexpected considering the large dislocation densities that have been found using XRD and this could be pointing to the fact that silver nanoparticles are effective as recombination-blocking layers or the fact that carrier drift velocities are increased by plasmonic field enhancement, and is less likely to be recombined.

Figure 14. Figure ( 13 ): (A) Current–voltage (I–V) characteristics of the multilayer junction CuO /PS/Si coated with 3% Ag-doped ZnO, (B) I–V characteristics of the solar cell under dark and illuminated conditions .

Figure 15. Figure (13): (A) Current–voltage (I–V) characteristics of the multilayer junction CuO/PS/Si coated with 5% Ag-doped ZnO, (B) I–V characteristics of the solar cell under dark and illuminated conditions.

Figure 16. Figure (14): (A) Current–voltage (I–V) characteristics of the multilayer junction CuO/PS/Si coated with 7% Ag-doped ZnO, (B) I–V characteristics of the solar cell under dark and illuminated conditions.

Conclusion

This all-round work indicates the effective enhancement of Ag-doped ZnO/CuO/porous silicon heterojunction devices with improved optoelectronic characteristics by a wide margin. Plasmonic silver nanoparticles in combination with transition metal oxides and nanostructured porous silicon produce synergies which enhance light absorption, charge carrier dynamics, and overall efficiency of the device. The optimized 7% Ag doped configuration has better photovoltaic properties and confirms the efficacy of the nanoscale engineering and interface optimization strategy. The results obtained are useful in the design of the next generation cost-effective solar cells and multifunctional optoelectronic devices, which will help in the development of renewable energy technologies and photonic devices..

References

[1] K. Ukoba, K. O. Yoro, O. Eterigho-Ikelegbe, C. Ibegbulam, and T.-C. Jen, “Adaptation of Solar Energy in the Global South: Prospects, Challenges and Opportunities,” Heliyon, vol. 10, no. 7, Art. no. e28009, 2024, doi: 10.1016/j.heliyon.2024.e28009.

[2] A. O. Ali et al., “Advancements in Photovoltaic Technology: A Comprehensive Review of Recent Advances and Future Prospects,” Energy Conversion and Management X, vol. 26, Art. no. 100952, 2025, doi: 10.1016/j.ecmx.2025.100952.

[3] S. Nallusamy et al., “Advances in Optoelectronics for Environmental and Energy Sustainability,” Next Energy, vol. 9, Art. no. 100387, 2025, doi: 10.1016/j.nxener.2025.100387.

[4] A. Obstarczyk et al., “Tailoring Optical and Electrical Properties of Thin-Film Coatings Based on Mixed Hf and Ti Oxides for Optoelectronic Application,” Materials & Design, vol. 175, Art. no. 107822, 2019, doi: 10.1016/j.matdes.2019.107822.

[5] S. Gao et al., “Development of High-Efficiency Perovskite Solar Cells and Their Integration With Machine Learning,” Nanomaterials, vol. 15, no. 21, Art. no. 1608, 2025, doi: 10.3390/nano15211608.

[6] N. Choudhary et al., “Two-Dimensional Transition Metal Dichalcogenide Hybrid Materials for Energy Applications,” Nano Today, vol. 19, pp. 16–40, 2018, doi: 10.1016/j.nantod.2018.02.007.

[7] L. Xiong et al., “Prospective Applications of Transition Metal-Based Nanomaterials,” Journal of Materials Research, vol. 37, no. 13, pp. 2109–2123, 2022, doi: 10.1557/s43578-022-00648-5.

[8] K.-H. Wu and C.-W. Li, “Light Absorption Enhancement of Silicon-Based Photovoltaic Devices With Multiple Bandgap Structures of Porous Silicon,” Materials, vol. 8, no. 9, pp. 5922–5932, 2015, doi: 10.3390/ma8095283.

[9] L. Z. Zhang, W. Sun, and P. Cheng, “Spectroscopic and Theoretical Studies of Quantum and Electronic Confinement Effects in Nanostructured Materials,” Molecules, vol. 8, no. 1, pp. 207–222, 2003, doi: 10.3390/80100207.

[10] R. Abbas et al., “Silver Nanoparticles: Synthesis, Structure, Properties and Applications,” Nanomaterials, vol. 14, no. 17, Art. no. 1425, 2024, doi: 10.3390/nano14171425.

[11] A. Jena et al., “Defect Mediated Improvements in the Photoelectrochemical Activity of MoS₂/SnS₂ Ultrathin Sheets on Si Photocathode for Hydrogen Evolution,” ACS Applied Materials & Interfaces, vol. 14, no. 35, pp. 39896–39906, 2022, doi: 10.1021/acsami.2c06797.

[12] J. Saddam and M. Jaduaa, “Design and Fabrication of a Multi-Junction Hybrid Heterostructure Based on ZnO/CuO/PS/Si for Advanced Optoelectronic Applications,” Journal of Solar Energy Research, vol. 10, no. 1, pp. 2161–2175, 2025, doi: 10.22059/jser.2025.398689.1599.

[13] L. Mascaretti et al., “Designing Metasurfaces for Efficient Solar Energy Conversion,” ACS Photonics, vol. 10, no. 12, pp. 4079–4103, 2023, doi: 10.1021/acsphotonics.3c01013.

[14] C. F. Jones et al., “Conductive Core–Shell Nanoparticles: Synthesis and Applications,” The Journal of Physical Chemistry C, vol. 128, no. 27, pp. 11083–11100, 2024, doi: 10.1021/acs.jpcc.4c02012.

[15] A. Jan et al., “Functionalized Graphene Quantum Dots: A Review of Their Synthesis, Properties, and Emerging Biomedical Applications,” Carbon Trends, vol. 18, Art. no. 100442, 2025, doi: 10.1016/j.cartre.2024.100442.