Login
Section Education

Differentiated Learning Practices and Fifth Grade Social Skills Development


Praktik Pembelajaran Berdiferensiasi dan Pengembangan Keterampilan Sosial Siswa Kelas Lima
Vol. 10 No. 1 (2025): June:

Muhammad Dimas Rahmadani (1), Tri Linggo Wati (2)

(1) Universitas Muhammadiyah Sidoarjo, Indonesia
(2) Universitas Muhammadiyah Sidoarjo, Indonesia

Abstract:

General Background: Elementary education under the Independent Curriculum promotes student-centered instruction that integrates academic achievement with social competence. Specific Background: Differentiated learning offers adaptive strategies by adjusting content, process, and product to diverse learner characteristics in heterogeneous classrooms. Knowledge Gap: Although differentiated practices are widely implemented, limited studies examine how the learning process dimension relates to elementary students’ social skills in authentic classroom contexts. Aims: This study analyzes fifth-grade students’ social skills within the process aspect of differentiated learning and identifies supporting and constraining factors during its implementation at an elementary school. Results: Using a descriptive qualitative design through observations, interviews, and documentation, findings show teachers applied differentiation mainly in content and product, while students demonstrated progress in empathy, cooperation, responsibility, and emotional regulation. However, inconsistencies in social behavior, unequal task participation, and limited differentiation in learning processes and environments were still observed. Novelty: The research provides a focused examination of social skill indicators derived from the classroom process of differentiated instruction. Implications: The findings highlight the need for more holistic and data-based differentiation practices to foster sustainable interpersonal growth and inclusive classroom interaction.


Keywords: Differentiated Learning, Social Skills, Elementary Students, Learning Process, Independent Curriculum


Key Findings Highlights:




  1. Students displayed stronger empathy and peer collaboration




  2. Flexible task options encouraged responsibility and engagement




  3. Process dimension required broader classroom application



Downloads

Download data is not yet available.

Pendahuluan

Pendidikan yang berkualitas tidak dapat diukur dari seberapa banyak materi yang dapat disampaikan kepada peserta didik, tetapi juga dari sejauh mana materi tersebut dapat dipahami dan diterapkan oleh peserta didik. Proses Pembelajaran merupakan sebuah sarana di sekolah yang digunakan untuk mengembangkan bakat, minat, keterampilan, dan potensi peserta didik. Proses pembelajaran yang efektif adalah yang mampu mendorong peserta didik untuk mencapai tujuan pembelajaran diinginkan. Untuk itu, peserta didik harus memiliki pengetahuan yang sesuai dengan tingkat perkembangan mereka [1]. Setiap jenjang pendidikan diatur dalam kurikulum yang di rancang untuk mengoptimalkan pemerataan pendidikan di Indonesia. Kurikulum ini berfokus pada pembelajaran yang nyaman, mandiri, aktif, bermakna, berkarakter dan merdeka. Dalam kurikulum ini, guru memiliki kebebasan untuk menentukan konten pembelajaran yang sesuai dengan kebutuhan peserta didik. Kebebasan ini disertai dengan peningkatan keterampilan dan kemampuan guru dalam menyusun materi pembelajaran yang tepat sasaran [2]

Salah satu Paradigma baru yang diperkenalkan dalam pembelajaran mandiri, dimana peserta didik dapat memilih mata pelajaran sesuai minat mereka. Mengingat setiap peserta didik memiliki karakter, kecepatan, dan gaya belajar yang berbeda. Oleh karena itu, untuk mencapai tujuan pembelajaran yang ideal, pendekatan yang adaptif terhadap perbedaan tersebut menjadi penting untuk mencapai tujuan pembelajaran yang efektif. Sebagai contoh dari kebebasan belajar memungkinkan peserta didik menyesuaikan pembelajaran mereka dengan kemampuan dan minat mereka. Seperti memilih sumber belajar yang relevan untuk memahami materi pelajaran, sesuai kebutuhan dan minat mereka.

Banyak ragam kemampuan peserta didik dalam mencerna pembelajaran saat ini. Salah satunya melalui keterampilan sosial yaitu kemampuan seseorang untuk berinteraksi dan berkomunikasi secara efektif dengan orang lain dalam berbagai situasi sosial yang meliputi kemampuan kerjasama, mengendalikan diri/ mengelola konflik, empati, menghargai perbedaan pendapat, dan menyelesaikan masalah secara kolaboratif [3]. Keterampilan sosial merupakan aspek fundamental dalam perkembangan individu yang mencakup kemampuan untuk berinteraksi secara efektif dengan lingkungan sosial, memahami emosi diri dan orang lain, serta menyelesaikan konflik secara konstruktif. Dalam konteks pendidikan dan perkembangan anak, keterampilan sosial tidak hanya berperan dalam membentuk hubungan interpersonal yang sehat, tetapi juga menjadi indikator keberhasilan dalam kehidupan akademik dan sosial. Menurut Karimizzah et al. (2020), keterampilan sosial meliputi perilaku seperti menyapa, berkomunikasi, bekerja dalam tim, dan menunjukkan empati, yang semuanya sangat dipengaruhi oleh lingkungan keluarga dan sekolah [4]. Selain itu, penelitian oleh Marheni et al. (2018) menunjukkan bahwa kualitas kelekatan anak dengan orang tua memiliki korelasi positif terhadap keterampilan sosial remaja, yang menjadi modal penting dalam membangun hubungan sosial di luar keluarga . Seiring dengan meningkatnya tantangan psikososial di era digital, keterampilan sosial menjadi semakin krusial untuk membantu anak dan remaja menavigasi tekanan akademik, pengaruh media sosial, dan dinamika hubungan sosial yang kompleks [5]. Oleh karena itu, pemahaman yang mendalam mengenai keterampilan sosial dan faktor-faktor yang memengaruhinya sangat penting untuk merancang intervensi pendidikan yang efektif dan mendukung kesejahteraan psikososial peserta didik. Pada kenyataannya saat ini sebagian peserta didik mempunyai kendala salah satunya dalam hal mengendalikan diri, empati, menghargai perbedaan, dan menyelesaikan masalah. Peserta didik sangat memerlukan bimbingan guru dan yang terpenting adalah pola asuh orang tua dalam keseharian mereka di rumah. Karena tanpa adanya Pendidikan dari orang tua akan sangat berdampak pada kondisi psikologis anak atau peserta didik di sekolah, aspek sopan santun yang sangat rendah terhadap orang yang lebih tua terutama pada guru disekolah. Tidak hanya itu cara mengendalikan diri mereka juga sangat rendah sehingga rawan terjadinya emosi yang tak terkendali. Keterampilan sosial sangat penting dalam pendidikan di sekolah dasar, karena anak-anak harus berinteraksi dengan orang lain untuk mempertahankan diri dan diterima dalam lingkungan. Keterampilan sosial meliputi kemampuan kerjasama dan komunikasi baik secara lisan dan tulisan dalam masyarakat. Masalah sosial tetap menjadi fokus dalam sistem pendidikan. Penelitian (Nasution 2018) menunjukkan bahwa keterampilan sosial peserta didik di Indonesia masih rendah, sehingga perlu dilakukan upaya untuk meningkatkannya. Faktor yang menyebabkan rendahnya keterampilan sosial peserta didik antara lain adalah dampak teknologi dan komunikasi, seperti kecanduan game online dan media sosial [6]. Kondisi ini harus menjadi perhatian guru dalam mengembangkan keterampilan sosial peserta didik, baik dalam interaksi di dalam kelas maupun di luar kelas. Guru sangat berpengaruh dalam interaksi pada peserta didik yang akan mempengaruhi keterampilan sosial peserta didik. Sistem pendidikan harus mengembangkan kreativitas, berpikir kritis, kerjasama, penguasaan teknologi informasi dan komunikasi, serta kemampuan literasi digital melalui guru. Untuk menjadi seorang guru, diperlukan kemampuan kognitif, sosial-perilaku, dan teknis[7]. Pada saat ini guru bukan hanya sebagai pengajar tapi juga sebagai motivator, pengawas, evaluator, dan fasilitator yaitu guru berperan dalam mendukung, membimbing, dan memfasilitasi proses belajar peserta didik agar mereka dapat mengembangkan pengetahuan, keterampilan, dan sikap secara mandiri. Guru harus mampu menerima dan memahami berbagai kemampuan dan minat peserta didik yang berbeda beda. Guru dapat mencapai hal tersebut dengan menerapkan pembelajaran berdiferensiasi [8].

Menurut Schöllhorn (2000) pembelajaran diferensial adalah model pembelajaran motorik yang menekankan pentingnya variasi gerakan yang didasarkan pada teori sistem dinamis tentang gerakan manusia [9]. Sementara itu pembelajaran berdiferensiasi, yang diperkenalkan oleh Carol Ann Tomlinson pada tahun 1999, merupakan pendekatan pembelajaran yang dirancang untuk mengakomodasi, melayani, dan menghargai keberagaman peserta didik dalam belajar, dengan mempertimbangkan tingkat kesiapan, minat, serta preferensi belajar mereka [10]. Dalam upaya meningkatkan kemampuan literasi dan numerasi peserta didik, pendidik memainkan peran penting dengan merancang pembelajaran yang memperhatikan keunikan setiap peserta didik. Pembelajaran berdiferensiasi merupakan pendekatan yang dirancang untuk mengakomodasi keragaman karakteristik peserta didik, seperti kesiapan belajar, minat, dan gaya belajar, sehingga proses pembelajaran menjadi lebih inklusif dan bermakna. Pendekatan ini memungkinkan guru untuk menyesuaikan metode pembelajaran berdasarkan karakteristik masing-masing peserta didik. Dalam pembelajaran berdiferensiasi, terdapat tiga aspek yang perlu dipertimbangkan oleh guru agar peserta didiknya dapat memahami materi pelajaran dengan baik. Pertama adalah aspek konten, yang mencakup materi yang akan diajarkan kepada peserta didik. Kedua adalah aspek proses, yang melibatkan kegiatan atau aktivitas bermakna yang akan dilakukan oleh peserta didik selama pembelajaran di kelas. Ketiga adalah aspek asesmen, yang melibatkan pembuatan produk atau penilaian yang dapat mengukur pencapaian tujuan pembelajaran [11]. Untuk mencapai tujuan pembelajaran yang diinginkan, guru perlu memiliki keterampilan yang memadai untuk meningkatkan keberagaman potensi peserta didik dan memenuhi kebutuhan belajar mereka. Menurut Eko Mujito, (2017) Konsep ini selaras dengan pandangan Ki Hajar Dewantara yang menyatakan bahwa pembelajaran yang terbaik adalah yang menghormati keberagaman [10]. Dalam hal ini, pembelajaran yang beragam dan sesuai dengan minat peserta didik dapat membantu mereka meraih hasil belajar yang maksimal. Guru dapat memanfaatkan teknologi informasi untuk merancang materi pembelajaran inovatif yang mudah diakses kapan saja dan dimana saja sesuai dengan gaya belajar masing-masing peserta didik. Mastropieri dkk, (2022) mengungkapkan Penyediaan pendekatan pembelajaran yang disesuaikan dengan gaya belajar dan tingkat pemahaman masing-masing peserta didik dapat membuat pembelajaran berdiferensiasi merangsang kolaborasi yang lebih alami dan produktif di antara mereka. Peserta didik yang merasa didengar dan dipahami oleh guru cenderung lebih termotivasi untuk bekerja sama dengan rekan-rekan mereka dalam menyelesaikan tugas dan proyek bersama. Pembelajaran berdiferensiasi juga berkontribusi dalam menciptakan lingkungan kelas yang inklusif, di mana setiap peserta didik merasa dihargai dan memiliki peran penting dalam proses belajar bersama .[12]

Proses pembelajaran yang berdiferensiasi tidak hanya meningkatkan hasil akademik, tetapi juga berdampak signifikan terhadap perkembangan keterampilan sosial peserta didik, seperti kemampuan berkomunikasi, bekerja sama, dan memahami perspektif orang lain [13]. Penelitian Marlina et al. (2022) menunjukkan bahwa strategi station rotation berbasis tiered task dalam pembelajaran berdiferensiasi mampu meningkatkan keterampilan sosial anak berkebutuhan khusus di sekolah inklusif secara signifikan. Hal ini terjadi karena proses pembelajaran yang fleksibel memberi ruang bagi peserta didik untuk berinteraksi dalam kelompok yang sesuai dengan kemampuan dan gaya belajar mereka yang meliputi visual, auditori, audio visual, dan kinestetik, sehingga tercipta lingkungan belajar yang suportif dan kolaboratif [14]. Dengan demikian, aspek proses dalam metode pembelajaran berdiferensiasi tidak hanya berfungsi sebagai alat pedagogis, tetapi juga sebagai sarana penguatan kompetensi sosial peserta didik dalam menghadapi dinamika kehidupan sosial yang kompleks. Salah satu ciri kunci aspek proses adalah pengelompokan fleksibel (flexible grouping) yang memungkinkan peserta didik berpindah peran dan pasangan belajar sehingga memperluas jejaring sosial, melatih kerja sama, asertivitas, dan empati [15]. Riset eksperimental tentang diferensiasi berbasis strategi belajar menunjukkan bahwa pengelompokan yang ditata dari karakteristik peserta didik dapat meningkatkan partisipasi dan interaksi akademik antarteman sebaya, yang menjadi pondasi keterampilan sosial [16]. Selain itu, asesmen formatif berkelanjutan bagian penting dari proses diferensiasi memberi umpan balik tepat waktu untuk menyesuaikan dukungan dan mendorong diskusi reflektif di kelas, yang terbukti berkaitan dengan dukungan emosional guru dan iklim sosial yang positif [17]. Pemberian pilihan dan otonomi belajar dalam tugas/proses diferensiasi memperkuat motivasi intrinsik, relasi sebaya, dan rasa tanggung jawab sosial peserta didik, yang menurut penelitian terkait otonomi berperan dalam kesejahteraan dan kualitas interaksi. Literatur juga menegaskan bahwa diferensiasi yang peka terhadap profil peserta didik minat, kesiapan, dan gaya belajar memfasilitasi kolaborasi, ko-regulasi emosi, dan komunikasi efektif selama aktivitas proses, sehingga menumbuhkan kompetensi sosial. Integrasi praktik Social and Emotional Learning (SEL) ke dalam langkah-langkah asesmen formatif dan kerja kelompok terstruktur memperkaya proses diferensiasi, karena strategi tersebut secara langsung melatih kesadaran diri, manajemen emosi, dan keterampilan relasional [18]. Dengan demikian, rancangan proses pada pembelajaran berdiferensiasi meliputi pengelompokan fleksibel, asesmen formatif adaptif, dan pemberian otonomi merupakan jalur operasional yang kuat untuk menumbuhkan keterampilan sosial peserta didik di kelas yang beragam.

Penelitian ini berfokus pada variasi proses metode pembelajaran berdiferensiasi yang melibatkan keterampilan sosial peserta didik saat di lingkungan sekolah baik di dalam ruang kelas maupun saat diluar kelas. Pembelajaran di kelas 5 sering kali melibatkan materi yang lebih kompleks dan membutuhkan pemahaman yang mendalam, serta menjadi sentral pendidikan kelas tinggi pada jenjang sekolah dasar sebelum menginjak tingkatan terakhir di kelas 6. sehingga sangat penting untuk mempersiapkan peserta didik dengan menggunakan metode pembelajaran yang dapat menyesuaikan diri dengan keberagaman gaya belajar, perbedaan kemampuan akademik, dan keaktifan selama dikelas [19]. Namun, meskipun konsep pembelajaran berdiferensiasi telah diterapkan di beberapa sekolah dan telah banyak dilakukan penelitian [20]. masih banyak tantangan yang dihadapi dalam mengimplementasikan pendekatan ini secara efektif, terutama dalam konteks kelas yang heterogen dalam keterampilan sosial peserta didik contohnya saat mengendalikan emosi terdapat peserta didik yang belum bisa mengontrol emosi sehingga saat bertengkar ia akan mencari barang tajam untuk meluapkan kekesalannya terhadap teman yang bertengkar dengannya. Peserta didik tidak bisa menahan amarahnya sehingga sering diberi nasehat oleh guru dengan cara pendekatan untuk dapat menenangkannya. Berjalannya waktu peserta didik mulai belajar untuk mengontrol amarahnya dengan tidak memandang wajah orang yang membuat emosinya memuncak. Sedangkan peserta didik lainnya meluapkan emosi dengan cara menangis dan tidak ingin berinteraksi dengan siapapun, Guru menerapkan pembelajaran berdiferensiasi memberikan pengertian kepada semua peserta didik tentang kerukunan antar sesama teman, guru juga menyesuiakan pembelajaran berdasarkan kemampuan akademik, keaktifas saat di kelas dan gaya belajar peserta didik sehingga semua peserta didik tidak lagi membully temannya dan lebih sering memahami kemampuan antar temannya saat menerima pembelajaran.

Di SDN Kandangan tempat penelitian ini dilakukan, penerapan pembelajaran berdiferensiasi dimulai sejak awal berlakunya kurikulum merdeka, guru telah memfasilitasi peserta didik dengan pembelajaran yang menyesuaikan tingkat gaya belajar peserta didik seperti mengelompokkan peserta didik menjadi beberapa bagian sesuai dengan gaya belajar mereka. dalam hal ini peneliti mengkaji keterampilan sosial dengan gaya belajar yang berbeda terhadap materi pelajaran, baik di bidang matematika, bahasa Indonesia, maupun ilmu pengetahuan sosial dan tidak hanya itu peneliti juga menganalisis perilaku dan tanggung jawab peserta didik dilingkungan sekolah . Namun, meskipun ada indikasi peningkatan keterlibatan peserta didik, sejauh mana penerapan pembelajaran berdiferensiasi ini benar-benar dapat meningkatkan keterampilan sosial peserta didik, masih perlu dieksplorasi lebih lanjut. Sudah banyak penelitian yang membuktikan pembelajaran berdiferensiasi meningkatkan keterampilan sosial tetapi masih sedikit penelitian yang mengukur dampak jangka Panjang. Banyak penelitian yang menginvestigasi secara rinci strategi implementasi di kelas besar maupun multicultural. Dari aspek keterampilan sosial juga belum banyak studi yang mengukur aspek keterampilan sosial seperti rasa empati, dan resolusi konflik.

Penelitian ini bertujuan untuk menganalisis Keterampilan Sosial peserta didik yang menjadi variasi proses metode pembelajaran berdiferensiasi di kelas 5 di SDN Kandangan, serta untuk mengidentifikasi faktor-faktor yang memengaruhi keberhasilan atau tantangan yang dihadapi dalam penerapannya. Fokus utama penelitian ini adalah untuk memahami bagaimana keterampilan sosial peserta didik setelah melalui tahapan proses metode pembelajaran berdiferensiasi seperti prestasi akademik serta partisipasi aktif peserta didik dalam proses belajar. Dengan melakukan penelitian ini, diharapkan dapat memberikan wawasan baru tentang penerapan pembelajaran berdiferensiasi yang efektif di tingkat kelas 5, serta memberikan rekomendasi untuk meningkatkan kualitas pembelajaran yang lebih merata bagi semua peserta didik.

Metode

Menurut Sugiyono (2024) metode penelitian kualitatif sering disebut metode penelitian naturalistik karena penelitiannya dilakukan pada kondisi yang alamiah (natural setting), disebut juga sebagai metode etnographi, karena pada awalnya metode ini lebih banyak digunakan untuk penelitian bidang antropologi budaya, disebut sebagai metode kualitatif, karena data terkumpul dan analisisnya lebih bersifat kualitatif. Dalam penelitian kualitatif, akan terjadi tiga kemungkinan terhadap “masalah” yang dibawa oleh peneliti dalam penelitian. Yang pertama “masalah” yang dibawa peneliti tetap, sehingga sejak awal mulai sampai akhir penelitian sama. Yang kedua “masalah” yang dibawa peneliti setelah memasuki penelitian berkembang yaitu mempeluas dan memperdalam masalah yang telah disiapkan. Yang ketiga “masalah” yang dibawa peneliti setelah memasuki lapangan berubah total, sehingga harus “ganti” masalah [21]. Menurut McCusker, K., & Gunaydin, S. (2015), metode kualitatif digunakan untuk menjawab pertanyaan tentang “apa (what)”, “bagaimana (how)”, atau “mengapa (why)” atas suatu fenomena. Teknik pengumpulan data dilakukan secara triangulasi (gabungan observasi, wawancara, dokumentasi), data yang diperoleh cenderung data kualitatif, analisis data bersifat induktif /kualitatif, dan hasil penelitian kualitatif bersifat untuk memahami makna, memahami keunikan , menkontruksi fenomena, dan menemukan hipotesis [22]. Menurut Johnny Saldana (2011) Penelitian Kualitatif merupakan payungnya berbagai metode penelitian naturalistic dalam kehidupan sosial.

Penelitian ini menggunakan metode kualitatif deskriptif dengan pendekatan studi kasus. Pendekatan studi kasus digunakan untuk memahami secara mendalam suatu fenomena, peristiwa, atau kasus tertentu dalam konteks kehidupan nyata. Studi kasus menekankan pada eksplorasi intensif dan terperinci terhadap satu atau beberapa kasus yang dianggap unik, penting, atau representatif untuk diteliti secara mendalam [23]. Menurut Patton, kekuatan utama metode ini terletak pada kedalaman dan detail yang dihasilkan dari sejumlah kecil kasus yang dipelajari secara intensif [24]. John W. Creswell, salah satu tokoh utama dalam metodologi penelitian kualitatif, memasukkan studi kasus sebagai salah satu dari lima pendekatan utama dalam penelitian kualitatif, bersama dengan biografi, fenomenologi, grounded theory, dan etnografi [25]. Studi kasus digunakan ketika peneliti ingin memahami secara utuh dan mendalam suatu fenomena yang kompleks, khusus, dan kontekstual [26]. Karakteristik Studi Kasus dalam Penelitian Kualitatif fokus pada satu kasus atau beberapa kasus yang dipilih secara purposif karena dianggap kaya informasi, Penelitian dilakukan secara intensif, terperinci, dan mendalam terhadap gejala atau fenomena tertentu, data dikumpulkan dari berbagai sumber (triangulasi), seperti wawancara mendalam, observasi langsung, observasi partisipatif, dokumentasi, dan artefak fisik, peneliti berusaha memahami kasus dari dalam (emic perspective), bukan hanya dari luar (etic perspective), studi kasus bersifat eksploratif dan deskriptif, bertujuan untuk memperoleh gambaran utuh (wholeness) dari objek yang diteliti.

Langkah-langkah Penelitian Studi Kasus, Pertama, Pemilihan Kasus: Kasus dipilih berdasarkan pertimbangan tertentu, seperti keunikan, keterjangkauan, atau relevansi dengan tujuan penelitian. Kedua, Pengumpulan Data: Data dikumpulkan melalui berbagai teknik, seperti wawancara, observasi, dokumentasi, dan partisipasi aktif. Ketiga, Analisis Data: Data dianalisis secara tematik dan mendalam untuk menemukan pola, makna, dan hubungan antar fenomena, Keempat, Penyusunan Laporan: Hasil penelitian disajikan secara naratif, mendalam, dan kontekstual, seringkali dengan deskripsi kasus yang detail.Tujuan dan Kelebihan Studi Kasus yaitu, memahami secara mendalam perilaku, pemikiran, dan pengalaman manusia dalam konteks tertentu. Mengungkap aspek-aspek yang tidak dapat dijangkau oleh metode lain, terutama yang berkaitan dengan makna tersirat dan proses sosial yang kompleks, memberikan kontribusi pada pengembangan teori, evaluasi program, dan intervensi praktis di berbagai bidang, seperti pendidikan, psikologi, dan sosiologi. Pendekatan studi kasus juga mempunyai kekurangan meliputi, hasil penelitian sulit digeneralisasi karena fokus pada kasus tertentu, rentan terhadap subjektivitas peneliti, membutuhkan waktu dan sumber daya yang cukup besar untuk eksplorasi mendalam.

Data dalam penelitian ini akan dikumpulkan melalui beberapa Teknik, meliputi : (1) Wawancara Mendalam yang dilakukan pada beberapa peserta didik untuk mengetahui berbagai macam karakter perilaku peserta didik. Hal ini bertujuan untuk menggali pengalaman dan persepsi mereka tentang keterampilan sosial, serta tantangan dan keberhasilan yang mereka temui dalam proses tersebut. Wawancara akan dilakukan secara semi-terstruktur menggunakan lembar wawancara, di mana peneliti menggunakan pedoman wawancara yang fleksibel untuk mengarahkan percakapan, namun tetap memberi ruang bagi partisipan untuk mengungkapkan pandangan mereka secara bebas. (2) Kedua, Observasi Kelas melalui kegiatan ini peneliti akan melakukan observasi langsung di kelas 5 untuk melihat secara langsung bagaimana pembelajaran berdiferensiasi diterapkan serta perilaku peserta didik saat di lingkungan sekolah baik didalam kelas maupun saat diluar kelas . Observasi ini akan mencakup interaksi antara guru dan peserta didik, cara guru mengelola kelas, serta variasi dalam metode pengajaran dan penugasan yang digunakan. Peneliti akan mencatat respon dan keterlibatan peserta didik selama pelaksanaan pembelajaran melalui lembar observasi. (3) Yang terakhir adalah Dokumentasi, melalui lembar dokumentasi ini akan digunakan untuk menganalisis bagaimana kondisi nyata keterampilan sosial peserta didik yang menjadi aspek proses dalam metode pembelajaran berdiferensiasi.

Uji keabsahan menggunakan triangulasi Teknik yang di lakukan dengan membandingkan data wawancara kepada partisipan yang terdiri dari 4 peserta didik dan dengan hasil observasi di kelas dan lingkungan sekolah dan juga disertai dokumen pendukung seperti foto kegiatan pembelajaran di kelas, dan hasil belajar peserta didik. Dalam Teknik pengumpulan data menggunakan triangulasi data yang bersifat menggabungkan dari berbagai Teknik pengumpulan data dan sumber data yang telah ada. Pengumpulan data ini juga menguji kredibilitas data penelitian diperoleh dari berbagai sumber data. Triangulasi teknik menggunakan teknik pengumpulan data yang berbeda-beda untuk mendapatkan data dari sumber yang sama.

Mathinson (1988) mengemukakan bahwa nilai dari Teknik pengumpulan data dengan triangulasi adalah untuk mengetahui data yang diperoleh convergent (meluas), tidak konsisten atau kontradiksi, oleh karena itu dengan menggunakan Teknik triangulasi dalam pengumpulan data, maka data yang diperoleh akan lebih konsisten, tuntas dan pasti [27].

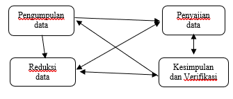
Teknik analisis data yang digunakan pada penelitian ini, yaitu menggunakan analisis interaktif model Miles dan Hubesman, meliputi empat kegiatan yang saling terkait yang terdiri dari pengumpulan data, reduksi data, penyajian data dan kesimpulan (Miles and Hubesman 2014)[28]. Analisis interaktif tersebut sebagaimana gambar dibawah ini.

Figure 1. Gambar 1. Model analisis data interaktif Miles dan Huberman [28]

Penelitian ini akan memilih 4 peserta didik dari kelas 5 yang menjadi subjek keterampilan sosial pada aspek proses pembelajaran berdiferensiasi . Untuk memperlancar jalannya penelitian, peneliti menyebut peserta didik tersebut sebagai Partisipan peserta didik (A),(B),(C),dan (D). Pemilihan peserta didik didasarkan pada representasi keragaman kemampuan akademik, partisipasi aktif dalam kelas dan gaya belajar mereka dalam keterampilan sosial, yang menjadi fokus utama dalam pembelajaran berdiferensiasi.

Pendekatan kualitatif dipilih karena memungkinkan peneliti untuk mengeksplorasi fenomena yang terjadi di lapangan secara lebih holistik, dengan memahami perspektif dan pengalaman peserta didik dalam konteks perilaku saat pembelajaran kelas maupun saat diluar kelas. Penelitian ini akan menggali aspek-aspek kualitatif dari proses pembelajaran yang terjadi, dengan melibatkan pengamatan langsung dan wawancara mendalam. Penelitian ini dilakukan di SDN Kandangan, yang terletak di Jl. Raya Kandangan, Ds Kandangan RT.07 RW.04 Kec. Krembung. Sekolah ini dipilih karena telah menerapkan pembelajaran berdiferensiasi dalam beberapa waktu terakhir. Penelitian ini akan dilakukan selama 3 bulan dengan pengumpulan data yang berlangsung di SDN Kandangan, pada tahun ajaran 2024-2025

Hasil dan Pembahasan

a. Hasil

Penerapan pembelajaran berdiferensiasi di kelas 5 SDN Kandangan telah dimulai sejak diberlakukannya Kurikulum Merdeka. Pada tahun ajaran 2024–2025, guru menghadapi tantangan dalam mendidik peserta didik yang mayoritas memiliki tingkat pemahaman yang relatif rendah. Oleh karena itu, pendekatan pembelajaran berdiferensiasi dipilih untuk menciptakan pengalaman belajar yang bermakna dan sesuai dengan gaya belajar peserta didik yang heterogen. Strategi ini memungkinkan guru untuk menyesuaikan materi, metode, dan produk pembelajaran berdasarkan kebutuhan individu peserta didik. Hal ini sejalan dengan prinsip pembelajaran berdiferensiasi yang menekankan fleksibilitas dan responsivitas terhadap karakteristik peserta didik.

Berdasarkan hasil wawancara, observasi, dan dokumentasi di kelas 5 SDN Kandangan, diketahui bahwa guru telah menerapkan metode pembelajaran berdiferensiasi secara aktif. Dokumen pendukung berupa modul ajar telah dimodifikasi untuk mencerminkan pendekatan ini. Keberagaman peserta didik menuntut guru untuk lebih kreatif dalam menyusun strategi pembelajaran, terutama dalam mengembangkan keterampilan sosial peserta didik. Guru dituntut untuk memahami profil belajar peserta didik secara mendalam agar pembelajaran dapat berlangsung efektif dan inklusif [29].

Berdasarkan hasil observasi menunjukkan bahwa saat guru menyampaikan materi hanya sebagian kecil peserta didik yang memperhatikan, sebagian lainnya tampak sibuk dengan aktivitas pribadi, seperti menjaili teman sebangkunya, mengajak bercerita teman disekitarnya, dan ada juga peserta didik yang membuat suatu kerajinan dari kertas atau benda disekitarnya. Ketika ditanya oleh guru, mereka tidak mampu menjawab dengan baik. Situasi ini menunjukkan pentingnya pembelajaran untuk menjangkau seluruh peserta didik, termasuk mereka yang memiliki gaya belajar kinestetik atau interpersonal. Pembelajaran berdiferensiasi memungkinkan guru untuk menyusun pendekatan yang lebih personal dan relevan bagi setiap peserta didik.

Guru menyajikan materi melalui berbagai media seperti tulisan dipapan dan video dengan menyesuaikan tingkat kesulitan materi dengan kemampuan peserta didik, selanjutnya guru memberikan pilihan kegiatan belajar seperti diskusi kelompok, presentasi, proyek, ataupun penelitian. Peserta didik diberikan kebebasan memilih jenis produk yang sesuai dengan minat dan gaya belajar mereka, seperti membuat presentasi, menulis laporan, membuat poster, ataupun membuat video. Pendekatan ini mencerminkan prinsip diferensiasi produk dan proses yang bertujuan untuk meningkatkan motivasi dan keterlibatan peserta didik dalam pembelajaran.

Selain aspek akademik, guru juga menerapkan Pembelajaran berdiferensiasi pada keterampilan sosial peserta didik, baik didalam kelas maupun di lingkungan sekolah. Keterampilan sosial yang dikembangkan meliputi perilaku terhadap lingkungan, perilaku interpersonal (berinteraksi dengan orang lain), perilaku yang berhubungan dengan diri sendiri, dan tanggung jawab terhadap tugas. Bahwa setiap peserta didik harus dapat memahami tentang pentingnya peduli terhadap lingkungan disekitar mereka sehingga peserta didik diharapkan dapat menjaga kebersihan di lingkungan sekolah. Peserta didik juga diharapkan dapat mengenali dirinya sendiri dan juga mampu berinteraksi dengan baik kepada orang lain serta dapat bertanggung jawab kepada tugas yang telah diberikan oleh guru untuk mengukur tingkat pemahaman peserta didik. Penelitian ini dilakukan karena terdapat temuan ini menjadi dasar penting untuk mengkaji lebih dalam keterampilan sosial peserta didik sebagian bagian dari hasil pembelajaran berdiferensiasi. Berdasarkan hasil wawancara dengan empat peserta didik kelas 5 di SDN Kandangan mengenai indicator penelitian tersebut diambil dari 4 indikator keterampilan sosial berikut ini.

Tabel 1. Indikator Keterampilan Sosial pada Aspek Proses Metode Pembelajaran Berdiferensiasi

Figure 2.

Tabel 1.1. Hasil Observasi dari partisipan A,B,C, dan D

Figure 3.

Tabel 1.2. Hasil Wawancara dari partisipan A,B,C, dan D

Figure 4.

Figure 5.

Figure 6.

Figure 7.

Figure 8.

Figure 9.

Figure 10.

Figure 11.

Berdasarkan hasil observasi dan wawancara diatas, diperoleh data dan akan disederhanakan dan memfokuskan data kompleks untuk mendapatkan gambaran yang lebih jelas dan bermakna, disajikan sebagai berikut :

Perilaku Terhadap Lingkungan Sekolah

Berdasarkan hasil wawancara dan observasi di lingkungan sekolah, mayoritas peserta didik menunjukkan perilaku kurang peka terhadap kebersihan lingkungan. Ketika melihat sampah di sekitar mereka, sebagian besar tidak segera mengambil tindakan untuk membersihkannya. Hal ini menunjukkan perlunya peran guru dalam memberikan pemahaman mengenai pentingnya menjaga kebersihan lingkungan serta dampak negatif dari lingkungan yang kotor terhadap kesehatan dan kenyamanan belajar. Peserta didik juga perlu memiliki tanggung jawab sosial untuk menegur atau mengingatkan temannya yang membuang sampah sembarangan. Lingkungan sekolah adalah tanggung jawab bersama seluruh warga sekolah, terutama peserta didik sebagai pengguna utama ruang belajar.

Temuan lapangan menunjukkan variasi perilaku peserta didik terhadap kebersihan. Peserta didik A dan B, misalnya, menunjukkan sikap yang berbeda tergantung pada situasi. Peserta didik A cenderung acuh terhadap sampah yang bukan miliknya, terutama jika bukan jadwal piketnya. Namun, ia kadang mengambil inisiatif untuk membersihkan karena merasa tidak nyaman dengan lingkungan yang kotor. Peserta didik B menunjukkan kepedulian yang situasional; ia akan membersihkan ruang kelas di pagi hari saat suasana hatinya baik dan teman-teman piket belum datang, tetapi menjadi tidak peduli jika ruang kelas kembali kotor saat pembelajaran berlangsung. Peserta didik C menunjukkan kepedulian yang sangat rendah. Ketika dipanggil guru karena ada sampah di sekitarnya, ia berpura-pura tidak mendengar karena takut dimarahi, dan tetap tidak memungut sampah tersebut. Peserta didik D memiliki pola perilaku yang mirip, namun dengan sedikit perbedaan. Ia menyatakan bahwa jika sampah tersebut adalah miliknya, ia akan menyimpannya di saku dan membuangnya saat pulang sekolah. Meskipun menunjukkan sikap acuh, peserta didik D kadang-kadang menunjukkan kepedulian dengan cara menyimpan sampahnya sendiri untuk dibuang kemudian. Secara keseluruhan, hasil observasi ini menunjukkan bahwa kesadaran peserta didik terhadap kebersihan lingkungan sekolah masih tergolong rendah. Edukasi yang berkelanjutan mengenai pentingnya kepedulian terhadap lingkungan sangat diperlukan. Hal ini diperkuat oleh dokumentasi berupa poster yang tertempel di dinding sekolah yang mengajak warga sekolah untuk peduli terhadap kebersihan lingkungan.

Figure 12. Gambar 2. Peserta didik (A) saat membersihkan lingkungan disekitar yang kotor

Berdasarkan data observasi dan wawancara, ditemukan bahwa interaksi sosial peserta didik terhadap guru menunjukkan variasi perilaku yang dipengaruhi oleh karakter dan kebiasaan masing-masing individu. Peserta didik A menunjukkan sikap sopan dan santun saat berinteraksi dengan guru. Namun, interaksinya dengan teman sebaya cenderung dipengaruhi oleh suasana hati; ketika suasana hatinya tidak baik, ia kesulitan menjalin komunikasi yang positif. Peserta didik B memiliki kebiasaan berbicara kasar saat berinteraksi dengan teman, dan kebiasaan tersebut sering terbawa dalam interaksi dengan guru atau orang yang lebih tua. Hal ini menunjukkan kurangnya pemisahan antara gaya komunikasi informal dan formal dalam konteks sosial yang berbeda. Berbeda dengan peserta didik C, yang mengalami kesulitan dalam merespon perintah guru. Ia sering kali tidak memahami apa yang harus dilakukan, sehingga terlihat pasif dan sulit diajak berkomunikasi. Sementara itu, peserta didik D menunjukkan sikap malu saat diajak berbicara oleh guru. Ia hanya menjawab dengan singkat seperti “iya” atau “tidak” dan menggunakan bahasa sehari-hari yang tidak sesuai dengan norma kesantunan dalam berinteraksi dengan guru. Guru sering kali harus memberikan nasihat agar peserta didik D belajar menggunakan bahasa yang lebih sopan dan sesuai dengan konteks formal.Temuan ini diperkuat oleh dokumentasi lapangan yang menunjukkan bahwa perilaku peserta didik dalam lingkungan sekolah perlu dilatih secara bertahap. Tujuannya adalah untuk mempersiapkan mereka menghadapi lingkungan sosial yang lebih luas, baik di sekolah maupun di masyarakat. Di dukung dengan dokumentasi sebagai berikut :

Figure 13. Gambar 3. peserta didik D malu tidak menjawab saat diajak berbicara oleh guru

Perilaku Interpersonal

Berdasarkan hasil observasi selama proses pembelajaran, guru memberikan kesempatan kepada peserta didik untuk menyampaikan pendapatnya di kelas. Namun, partisipasi aktif dalam diskusi masih tergolong rendah. Peserta didik A, misalnya, hanya memperhatikan temannya yang sedang mengungkapkan pendapat tanpa menunjukkan keinginan untuk menanggapi atau menyanggah, meskipun ia memiliki pandangan yang berbeda. Sikap serupa juga ditunjukkan oleh peserta didik B, yang memilih diam dan tidak menyampaikan ketidaksetujuannya secara terbuka. Peserta didik C menunjukkan kecenderungan untuk tidak memperhatikan temannya yang sedang berdiskusi atau bertanya kepada guru. Akibatnya, ia sering kali menanyakan ulang hal yang telah dibahas sebelumnya, menunjukkan kurangnya fokus dan keterlibatan dalam proses pembelajaran. Hal ini tidak jauh berbeda dengan peserta didik D, yang juga sering tidak fokus selama pembelajaran berlangsung. Data ini diperkuat melalui dokumentasi hasil wawancara dan observasi terhadap peserta didik C dan D. Temuan ini menunjukkan bahwa partisipasi aktif peserta didik dalam diskusi kelas masih perlu ditingkatkan. Rendahnya keterlibatan dalam diskusi dapat berdampak pada pemahaman materi dan kemampuan berpikir kritis peserta didik.

Figure 14. Gambar 4. Guru menjelaskan tentang pentingnya menghormati pendapat/pandangan orang lain

Berdasarkan hasil wawancara dan observasi, pengelolaan konflik sosial peserta didik menunjukkan beragam respons yang mencerminkan tingkat kematangan emosional dan kemampuan menyelesaikan masalah secara damai. Peserta didik A, misalnya, memilih untuk tidak berinteraksi sementara waktu setelah terlibat dalam perselisihan. Jika ia merasa bersalah, ia berusaha meminta maaf; sebaliknya, jika temannya yang bersalah, ia berusaha memaafkan. Namun, ketika menyaksikan pertengkaran antar teman, peserta didik A tidak berani melerai karena khawatir terkena dampak emosi dari temannya. Sebagai gantinya, ia melaporkan kejadian tersebut kepada guru kelas, terutama jika guru tidak berada di tempat saat konflik terjadi. Peserta didik B menunjukkan pola penyelesaian konflik yang mirip dengan peserta didik A, yaitu dengan menghindari kontak langsung seperti tidak memandang lawan bertengkarnya agar emosinya mereda secara bertahap.

Figure 15. Gambar 5. Wawancara kepada Peserta didik (B) saat mengelola konflik

Di sisi lain, peserta didik C menunjukkan kesulitan dalam mengontrol emosi. Saat bertengkar, ia cenderung meluapkan kemarahan secara ekstrem, seperti mencari barang tajam untuk melampiaskan kekesalannya. Guru memberikan pendekatan khusus untuk menenangkan peserta didik C, dan seiring waktu, ia mulai belajar mengendalikan emosinya dengan cara menghindari kontak visual dengan orang yang memicu kemarahannya. Peserta didik D meluapkan emosinya dengan menangis dan menarik diri dari interaksi sosial. Ia bahkan sempat menyatakan keinginan untuk pindah sekolah karena merasa dibully dan tidak nyaman di lingkungan kelas. Namun, melalui penerapan pembelajaran berdiferensiasi oleh guru—yang menekankan pentingnya kerukunan antar teman dan penyesuaian pembelajaran berdasarkan kemampuan dan gaya belajar masing-masing peserta didik—situasi mulai membaik. Peserta didik D akhirnya mengurungkan niatnya untuk pindah sekolah, dan teman-temannya mulai menunjukkan empati dengan menenangkannya saat ia menangis.

Berdasarkan hasil wawancara di lapangan, peserta didik diminta untuk mengungkapkan perasaan mereka saat melihat teman yang sedang bersedih sebagai bentuk empati terhadap sesama. Mayoritas peserta didik menyatakan bahwa mereka akan berusaha menenangkan temannya dan mendorongnya untuk bercerita tentang hal yang membuatnya sedih. Respons ini menunjukkan adanya kesadaran emosional dan keinginan untuk memberikan dukungan sosial kepada teman sebaya. Namun, tidak semua peserta didik menunjukkan respons yang sama. Beberapa teman bersedia menceritakan masalahnya secara terbuka, sementara yang lain memilih untuk menyimpan perasaannya. Meskipun demikian, secara umum, empati sosial peserta didik terhadap temannya dapat dikategorikan baik. Hal ini diperkuat oleh data dokumentasi yang menunjukkan adanya interaksi positif dan dukungan emosional antar peserta didik dalam situasi sosial yang menantang.

Perilaku Yang Berhubungan Dengan Dirinya Sendiri

Peserta didik di jenjang sekolah dasar perlu memiliki kesadaran terhadap kemampuan dirinya masing-masing, termasuk dalam hal pengendalian emosi. Berdasarkan hasil wawancara, peserta didik A menunjukkan kemampuan yang cukup baik dalam mengelola emosinya. Ketika menghadapi masalah, ia memilih untuk mengalihkan perhatiannya kepada kegiatan lain yang bermanfaat sebagai cara untuk menenangkan diri. Sikap serupa juga ditunjukkan oleh peserta didik B, yang lebih memilih melakukan aktivitas positif untuk meredakan emosinya. Namun, tidak semua peserta didik memiliki kemampuan yang sama. Melalui hasil observasi, peserta didik C masih menunjukkan kecenderungan mudah terpancing emosinya, terutama saat terjadi ketidaksesuaian dengan teman sebaya. Bentuk pelampiasan emosinya terlihat dari teriakan yang muncul saat konflik berlangsung. Sementara itu, peserta didik D menunjukkan respons emosional yang berbeda. Ia cenderung menangis saat merasa bersalah atau diperingatkan oleh guru. Dalam situasi tersebut, guru berusaha mengolah kata-kata dengan lebih bijak agar peserta didik D memahami kesalahannya tanpa merasa tertekan. Pendekatan ini bertujuan agar peserta didik D, yang sudah berada di kelas 5, mulai belajar mengontrol tangisannya dan mengembangkan ketahanan emosional. Secara keseluruhan, hanya sebagian peserta didik yang telah mampu mengontrol emosinya secara adaptif. Hal ini menunjukkan pentingnya pembinaan regulasi emosi sejak dini di lingkungan sekolah.

Selain kemampuan mengontrol emosi, peserta didik di jenjang sekolah dasar juga perlu memiliki kesadaran diri (self-awareness), yaitu kemampuan untuk mengenali kelebihan dan kekurangan diri sendiri dalam berinteraksi dengan orang lain. Berdasarkan hasil wawancara dan observasi di lapangan, ditemukan bahwa tingkat kesadaran diri peserta didik masih sangat bervariasi. Peserta didik A menunjukkan semangat eksplorasi terhadap hal-hal baru yang belum pernah ia coba sebelumnya. Meskipun belum sepenuhnya memahami kelebihan dan kekurangannya, ia memiliki motivasi untuk terus mencoba agar dapat mengetahui bidang yang ia kuasai maupun yang masih perlu ditingkatkan. Sikap ini menunjukkan potensi perkembangan self-awareness yang positif. Berbeda dengan peserta didik B, yang saat suasana hatinya tidak baik cenderung meluapkan emosinya kepada adiknya sepulang sekolah. Setelah melakukannya, ia merasa menyesal dan berusaha untuk tidak mengulanginya. Hal ini menunjukkan bahwa peserta didik B mulai menyadari dampak perilakunya terhadap orang lain dan berusaha memperbaiki diri, meskipun masih dalam tahap awal pengembangan kesadaran diri. Peserta didik C menunjukkan kecenderungan untuk tidak mengeksplorasi kemampuannya. Ketika terpilih mengikuti kegiatan sekolah, ia menolak karena merasa tidak berminat dan lebih memilih untuk melakukan aktivitas yang ia sukai saja. Sikap ini mencerminkan rendahnya minat belajar dan kurangnya dorongan untuk mengenali potensi diri secara lebih luas. Sementara itu, peserta didik D masih mengalami kebingungan saat ditanya tentang kesadaran diri. Ia kesulitan dalam menerima pembelajaran, memiliki daya tangkap yang lambat, dan sering merasa malas belajar. Kondisi ini menunjukkan bahwa peserta didik D membutuhkan pendekatan pembelajaran yang lebih personal dan dukungan emosional untuk membantu mengenali dan mengembangkan potensi dirinya.

Setiap sekolah memiliki seperangkat aturan yang dirancang untuk membentuk karakter dan kedisiplinan peserta didik. Salah satu aturan yang umum diterapkan adalah kewajiban datang lebih awal sebagai bentuk pembiasaan terhadap ketertiban waktu. Berdasarkan hasil wawancara, peserta didik A menyadari telah melakukan pelanggaran karena datang terlambat ke sekolah dan tidak mengenakan atribut lengkap saat mengikuti upacara. Akibat pelanggaran tersebut, ia menerima sanksi (punishment) dari pihak sekolah. Pengalaman tersebut menjadi pelajaran bagi peserta didik A, yang kemudian berkomitmen untuk tidak mengulanginya dan lebih memperhatikan ketepatan waktu serta kelengkapan atribut sekolah. Sementara itu, peserta didik B menunjukkan perilaku yang berbeda. Ia memiliki kebiasaan berbicara kotor, terutama saat berinteraksi dengan teman sebaya. Meskipun ia berusaha untuk mengubah kebiasaan tersebut, pengendalian diri masih menjadi tantangan karena perilaku tersebut telah terbentuk dalam rutinitas sehari-hari. Hal ini menunjukkan bahwa pembinaan karakter dan disiplin tidak hanya menyangkut kepatuhan terhadap aturan formal, tetapi juga mencakup pengendalian perilaku verbal dan etika komunikasi.

Berdasarkan hasil observasi, peneliti menemukan perilaku unik sekaligus menyimpang yang dilakukan oleh peserta didik C, yaitu tidur di lantai saat mengerjakan tugas. Kebiasaan ini menunjukkan kurangnya kesadaran terhadap norma belajar yang berlaku di kelas dan perlu diberikan penanganan khusus agar tidak berlanjut, didukung bukti dokumentasi sebagai berikut:

Figure 16. Gambar 6. Perilaku peserta didik (C) saat tidak fokus belajar dan menunjukkan kebosanan terhadap pembelajaran

Selain itu, peserta didik C juga sering berbicara sendiri dan bercanda dengan temannya tanpa memperhatikan guru saat pembelajaran berlangsung. Ia cenderung mudah bosan dan merasa tidak nyaman belajar di bangku, sehingga sesekali mengganggu temannya. Akibatnya, suasana kelas menjadi ramai dan tidak terkendali. Guru telah berupaya memberikan peringatan kepada peserta didik yang mengganggu jalannya pembelajaran. Namun, karena perilaku tersebut terus berulang, guru mengambil tindakan lanjutan berupa hukuman edukatif, yaitu meminta peserta didik yang ramai untuk tetap tinggal di kelas saat jam pulang dan memberikan tugas tambahan. Tindakan ini bertujuan untuk memberikan efek jera dan mendorong peserta didik agar lebih disiplin dalam mengikuti pembelajaran. Sementara itu, peserta didik D juga pernah melanggar aturan sekolah dengan tidak mengenakan atribut lengkap saat upacara. Sebagai bentuk konsekuensi, ia diberikan hukuman berupa hormat kepada bendera selama lima menit. Hampir seluruh peserta didik kelas 5 pernah melakukan pelanggaran terhadap aturan sekolah, baik dalam bentuk ketidakdisiplinan maupun kelalaian. Oleh karena itu, diperlukan penguatan karakter dan penegakan aturan secara konsisten agar peserta didik terbiasa mematuhi tata tertib yang berlaku.

Perilaku Yang Berhubungan Dengan Tugas

Berdasarkan hasil observasi dan wawancara, peserta didik menunjukkan beragam strategi dalam menghadapi kesulitan saat mengerjakan tugas. Peserta didik A, misalnya, akan terlebih dahulu bertanya kepada temannya jika mengalami kesulitan. Jika temannya tidak dapat memberikan jawaban yang memuaskan, ia akan langsung bertanya kepada guru mengenai materi yang dianggap sulit. Dengan cara ini, peserta didik A mampu menyelesaikan tugas berdasarkan pemahaman dan cara berpikirnya sendiri. Peserta didik B menunjukkan sikap terbuka dalam mencari bantuan. Ia tidak malu untuk bertanya kepada teman maupun guru saat merasa bingung. Meskipun penjelasan dari guru kadang belum langsung dipahami, peserta didik B berani untuk menanyakan kembali hingga benar-benar memahami materi. Sikap ini menunjukkan adanya motivasi belajar dan keberanian untuk mencari solusi atas kesulitan yang dihadapi. Peserta didik C memiliki pendekatan yang berbeda. Ia akan mengerjakan tugas semampunya terlebih dahulu, lalu maju ke depan untuk memastikan jawabannya kepada guru. Guru juga sesekali menghampiri peserta didik di bangkunya untuk memantau apakah tugas sedang dikerjakan atau tidak. Interaksi ini mencerminkan adanya komunikasi dua arah yang mendukung proses belajar.

Sebaliknya, peserta didik D menunjukkan kecenderungan pasif dalam menyelesaikan tugas. Ia tidak berusaha mencari bantuan, melainkan hanya menyalin jawaban dari teman sebangku tanpa memahami maknanya. Meskipun guru berusaha membimbingnya dengan memberikan arahan langsung, peserta didik D hanya menulis apa yang dikatakan guru tanpa benar-benar memahami isi materi. Hal ini menunjukkan rendahnya kemampuan dalam mencerna informasi dan kurangnya inisiatif belajar. Berikut hasil dokumentasi disajikan dibawah ini:

Figure 17. Gambar 7. Peserta didik (D) menyalin soal dari temannya

Figure 18. Gambar 8. Hasil tulisan peserta didik (D) yang hanya menulis soal dan tidak dijawab menggambarkan keterbatasan dalam memahami tugas

Berdasarkan hasil observasi, peserta didik menunjukkan variasi sikap dalam membantu teman, merespons instruksi guru, dan menyelesaikan tugas secara mandiri. Dalam hal kesediaan membantu teman yang mengalami kesulitan, peserta didik A menunjukkan sikap tanggap dengan menerapkan pendekatan tutor sebaya. Ia tidak memberikan jawaban langsung, melainkan memberikan petunjuk atau kisi-kisi agar temannya dapat memahami dan menyelesaikan tugas secara mandiri. Sikap serupa juga ditunjukkan oleh peserta didik B, C, dan D, yang bersedia membantu temannya dengan cara menjelaskan langkah-langkah pengerjaan, bukan memberikan jawaban jadi.

Dalam aspek respons terhadap instruksi guru, peserta didik A dan B menunjukkan sikap aktif dengan menanyakan kembali perintah yang kurang jelas. Mereka tidak ragu untuk meminta penjelasan tambahan setelah guru menyampaikan instruksi. Sebaliknya, peserta didik C cenderung pasif dan tidak berusaha bertanya, bahkan sering mengabaikan instruksi guru. Peserta didik D menunjukkan respons yang lambat; ia melaksanakan perintah secara literal tanpa memahami maksudnya. Contohnya, saat diminta mengambil sapu, ia bertanya kembali ke guru tentang lokasi penyimpanan sapu, meskipun rak peralatan sudah terlihat jelas di dekatnya. Menurut guru kelas 5, peserta didik D memiliki kepekaan yang lambat dalam mengambil keputusan.

Sikap proaktif juga terlihat berbeda antar peserta didik. Peserta didik A dan B menunjukkan kemandirian dalam menyelesaikan tugas individu, bahkan saat guru tidak berada di kelas. Mereka tetap fokus mengerjakan tugas dan menyisakan soal yang belum dipahami untuk ditanyakan kemudian. Sebaliknya, peserta didik C lebih memilih bermain atau berbicara dengan teman, sehingga mengganggu suasana kelas dan menghambat penyelesaian tugas. Ia cenderung menjawab soal seadanya tanpa memahami maknanya. Peserta didik D menunjukkan perilaku yang hampir serupa, namun dengan tambahan gangguan fisik terhadap teman, seperti menjaili hingga terjadi konflik yang berujung pada tangisan dan tugas yang tidak terselesaikan. Temuan ini diperkuat oleh dokumentasi hasil asesmen diagnostik peserta didik, yang menunjukkan bahwa sikap proaktif dan kemampuan memahami instruksi sangat berpengaruh terhadap keberhasilan belajar.

b. Pembahasan

Relevansi Pembelajaran Berdiferensiasi dalam Konteks Kurikulum Merdeka

Penerapan pembelajaran berdiferensiasi di kelas 5 SDN Kandangan menjadi salah satu bentuk nyata pelaksanaan Kurikulum Merdeka yang menekankan pembelajaran berpusat pada peserta didik (student-centered learning). Kurikulum ini menuntut guru untuk mampu merancang pembelajaran yang adaptif terhadap keragaman karakteristik peserta didik, baik dari segi minat, kesiapan belajar, maupun gaya belajar. Berdasarkan hasil penelitian, guru kelas 5 telah menerapkan prinsip diferensiasi dalam proses belajar mengajar melalui pemilihan media belajar yang bervariasi (tulisan, video), model kegiatan yang fleksibel (diskusi, proyek, presentasi), serta pemberian kebebasan dalam memilih produk akhir pembelajaran. Strategi ini merupakan bagian penting dari pembelajaran berdiferensiasi yang sesuai dengan prinsip Kurikulum Merdeka.

Menurut Tomlinson (2017), pembelajaran berdiferensiasi merupakan pendekatan instruksional yang menyesuaikan isi, proses, produk, dan lingkungan belajar dengan kebutuhan individual peserta didik. Guru di SDN Kandangan secara bertahap telah menerapkan pendekatan ini dengan menyesuaikan tingkat kesulitan materi dan memberikan pilihan aktivitas sesuai gaya belajar dan kemampuan akademik peserta didik [30]. Praktik ini menunjukkan adanya kesadaran guru terhadap pentingnya menanggapi keberagaman peserta didik dalam satu kelas, terutama dalam situasi di mana mayoritas peserta didik memiliki tingkat pemahaman yang masih rendah. Namun demikian, pelaksanaan di lapangan menunjukkan bahwa pembelajaran berdiferensiasi belum sepenuhnya mampu menjawab tantangan keterampilan sosial peserta didik pada pembelajaran berdiferensiasi

Perilaku terhadap Lingkungan

Berdasarkan observasi dan wawancara, mayoritas peserta didik masih menunjukkan kepedulian situasional terhadap kebersihan sekolah. Hanya sebagian kecil yang menunjukkan inisiatif menjaga lingkungan tanpa disuruh. Hal ini menandakan bahwa nilai kepedulian terhadap lingkungan perlu ditanamkan secara konsisten melalui kegiatan kolaboratif dalam pembelajaran berdiferensiasi, misalnya dengan proyek kebersihan kelas berbasis kelompok. Hasil ini sejalan dengan penelitian Utami & Prasetyo (2021), [31] yang menemukan bahwa pembiasaan dan keterlibatan aktif peserta didik dalam kegiatan berbasis proyek dapat meningkatkan kepedulian sosial, termasuk menjaga kebersihan lingkungan.

Perilaku Interpersonal

Dalam aspek menghargai pendapat, empati, dan pengelolaan konflik, ditemukan variasi yang signifikan antar peserta didik. Ada peserta didik yang mampu menenangkan temannya ketika sedih, tetapi ada pula yang cenderung acuh atau bahkan meluapkan emosi secara ekstrem. Hal ini menunjukkan bahwa keterampilan interpersonal sangat dipengaruhi oleh regulasi emosi dan pengalaman sosial di kelas. Melalui pembelajaran berdiferensiasi, guru dapat menyediakan ruang diskusi, debat sehat, maupun kerja kelompok untuk melatih keterampilan interpersonal. Temuan ini konsisten dengan penelitian Lestari (2020)[32] yang menyatakan bahwa diferensiasi proses melalui kerja kelompok berkontribusi positif pada peningkatan empati dan komunikasi antar peserta didik.

Perilaku yang Berhubungan dengan Diri Sendiri

Kemampuan mengontrol emosi dan kesadaran diri peserta didik masih beragam. Peserta didik A dan B cenderung mampu mengalihkan emosinya ke aktivitas positif, sementara peserta didik C dan D masih menunjukkan kesulitan, seperti marah berlebihan atau menangis. Hal ini menunjukkan perlunya pendekatan diferensiasi berbasis profil belajar dan kebutuhan emosional. Guru dapat memberikan bimbingan individual, refleksi diri, atau jurnal emosi untuk menumbuhkan kesadaran diri peserta didik. Penelitian Wulandari (2021) mendukung bahwa latihan reflektif dan diferensiasi produk berupa catatan pribadi efektif meningkatkan regulasi emosi dan kesadaran diri peserta didik sekolah dasar [33].

Perilaku yang Berhubungan dengan Tugas

Dalam aspek tanggung jawab, meminta bantuan, dan proaktif mengerjakan tugas, ditemukan bahwa sebagian peserta didik menunjukkan kemandirian tinggi, namun sebagian lain cenderung pasif atau bergantung pada teman. Penerapan pembelajaran berdiferensiasi dengan memberikan pilihan produk (misalnya poster, laporan, atau video) dapat meningkatkan rasa tanggung jawab dan keterlibatan. Penelitian Rahayu (2022) juga menyebutkan bahwa variasi produk dalam diferensiasi tugas mendorong peserta didik untuk lebih mandiri dan bertanggung jawab [34] .

Kurikulum Merdeka secara normatif merekomendasikan guru untuk melakukan asesmen diagnostik yang bertujuan untuk mengenali kesiapan, minat, dan profil belajar peserta didik sebagai dasar merancang pembelajaran berdiferensiasi (Kemdikbudristek, 2022) [35]. Akan tetapi, hasil penelitian menunjukkan bahwa strategi guru masih bersifat general dan belum sepenuhnya berbasis data individual peserta didik. Hal ini menjadi catatan penting bahwa keberhasilan implementasi Kurikulum Merdeka tidak hanya terletak pada variasi metode mengajar, tetapi juga pada kedalaman pemahaman guru dalam menghadapi kondisi belajar setiap peserta didik. Dengan demikian, pembelajaran berdiferensiasi yang diterapkan di SDN Kandangan telah berada pada jalur yang sesuai dengan implementasi Kurikulum Merdeka, tetapi masih memerlukan penguatan pada aspek desain instruksional, asesmen diagnostik yang lebih sistematis, serta upaya dalam membangun iklim kelas yang mendorong partisipasi aktif dan rasa nyaman bagi semua peserta didik. Hubungan pembelajaran berdiferensiasi dengan Kurikulum Merdeka sangat jelas, tetapi keberhasilannya sangat bergantung pada kemampuan guru dalam merancang, mengelola, dan merefleksikan proses pembelajaran secara menyeluruh dan berkelanjutan.

Pengaruh terhadap Perilaku Sosial antara Nilai Positif dan Ketidakkonsistenan

Hasil observasi dan wawancara menunjukkan bahwa penerapan pembelajaran berdiferensiasi di kelas 5 SDN Kandangan memberikan pengaruh yang cukup signifikan terhadap perkembangan perilaku sosial peserta didik. Pembelajaran berdiferensiasi, yang memungkinkan peserta didik belajar berdasarkan kebutuhan dan potensi masing-masing, ternyata tidak hanya berdampak pada capaian akademik, tetapi juga pada aspek sosial emosional peserta didik. Hal ini selaras dengan prinsip pendidikan yang holistik dalam Kurikulum Merdeka, yang menempatkan kompetensi sosial dan kepribadian sebagai bagian tak terpisahkan dari proses belajar. Nilai Positif Pemupukan Empati dan Tanggung Jawab Sosial, Beberapa peserta didik menunjukkan perilaku sosial yang positif seperti inisiatif membantu teman yang mengalami kesulitan, menunjukkan empati saat teman bersedih, hingga kemampuan menyelesaikan konflik secara damai. Misalnya, peserta didik (A) dan (B) lebih proaktif dalam membantu teman memahami tugas tanpa langsung memberi jawaban, yang mencerminkan praktik peer tutoring yang baik. Mereka juga menunjukkan kecenderungan untuk menyelesaikan konflik secara konstruktif dan mampu meminta maaf atau memaafkan ketika terjadi perselisihan. Hal ini sejalan dengan teori social learning oleh Bandura (1986)[36], bahwa perilaku sosial dapat dikembangkan melalui pengamatan, pengalaman langsung, serta reinforcement yang positif dalam konteks interaksi sosial. Empati, sebagai salah satu indikator keterampilan sosial, juga teridentifikasi dalam respons peserta didik saat melihat temannya bersedih. Mayoritas peserta didik menunjukkan kepedulian emosional, mencoba menenangkan, atau sekadar menemani. Pembelajaran berdiferensiasi yang memberikan ruang ekspresi dan kolaborasi secara alami membentuk suasana yang memungkinkan peserta didik belajar mengenali dan merespons emosi orang lain, yang penting dalam pengembangan social-emotional learning (CASEL, 2020) [37]. Ketidakkonsistenan merupakan Tantangan Pembentukan Nilai Sosial yang Stabil. Meskipun terdapat nilai-nilai positif yang berkembang, hasil penelitian juga mengungkap adanya ketidakkonsistenan dalam perilaku sosial peserta didik. Beberapa peserta didik, seperti peserta didik (C) dan (D), menunjukkan perilaku apatis terhadap kebersihan lingkungan, enggan mengikuti aturan, dan kurang mampu mengontrol emosi dalam interaksi sosial. Misalnya, peserta didik (C) pernah bereaksi dengan kemarahan berlebihan hingga mengancam menggunakan benda tajam, sedangkan peserta didik (D) menunjukkan respons emosional berupa tangisan saat merasa tidak nyaman secara sosial. Ketidakseimbangan ini menunjukkan bahwa proses internalisasi nilai sosial belum terjadi secara merata dan mendalam. Ketimpangan Respons Sosial antar Individu. Perbedaan respons sosial antara peserta didik (A/B) dan (C/D) juga mencerminkan bahwa pembelajaran berdiferensiasi belum sepenuhnya inklusif terhadap kebutuhan sosial-emosional peserta didik yang memiliki kesulitan mengatur diri. Ini menunjukkan bahwa strategi pembelajaran yang diferensiatif tidak cukup jika tidak diiringi pendekatan personalized social coaching atau behavioral modeling secara konsisten. Sebagaimana ditegaskan oleh Tomlinson (2017), guru tidak hanya perlu mendesain variasi konten dan produk, tetapi juga membimbing peserta didik dalam prosesnya secara sosial dan emosional.

Ketimpangan Gaya Belajar dan Tanggung Jawab Individu

Hasil penelitian menunjukkan bahwa penerapan pembelajaran berdiferensiasi di kelas 5 SDN Kandangan telah memberikan ruang bagi peserta didik untuk belajar sesuai dengan preferensi gaya belajar dan kemampuan masing-masing. Guru telah menyediakan variasi aktivitas dan memberikan pilihan kepada peserta didik dalam bentuk produk pembelajaran, seperti presentasi, laporan, video, maupun poster. Strategi ini sudah mencerminkan prinsip dasar pembelajaran berdiferensiasi sebagaimana dirumuskan oleh Tomlinson (2017), yaitu penyesuaian konten, proses, dan produk pembelajaran berdasarkan kesiapan, minat, dan profil belajar peserta didik. Namun, penerapan tersebut masih menghadapi tantangan dalam bentuk ketimpangan gaya belajar dan tanggung jawab individu peserta didik. Penelitian menemukan bahwa hanya sebagian peserta didik yang mampu memanfaatkan fleksibilitas ini untuk belajar secara efektif dan mandiri. Misalnya, peserta didik (A) dan (B) menunjukkan kemampuan untuk memahami instruksi, menyelesaikan tugas secara mandiri, bertanya saat mengalami kesulitan, dan bersikap proaktif dalam kegiatan belajar. Hal ini mencerminkan adanya kesadaran belajar dan tanggung jawab individu yang cukup baik. Sebaliknya, peserta didik (C) dan (D) menunjukkan pola perilaku yang kurang mendukung pembelajaran mandiri. Mereka seringkali tidak memahami instruksi guru, lambat dalam merespons, pasif saat mengalami kesulitan, dan cenderung menyalin pekerjaan teman tanpa memahami isinya. Bahkan, ada yang menunjukkan respons emosional negatif seperti menangis, diam berkepanjangan, atau bersikap masa bodoh terhadap tugas. Situasi ini menunjukkan bahwa tidak semua peserta didik telah memiliki kesiapan untuk belajar secara otonom dan bertanggung jawab, meskipun telah diberikan keleluasaan dalam memilih gaya belajar dan bentuk tugas.

Selanjutnya, gaya belajar yang berbeda juga menuntut pendekatan instruksional yang adaptif. Beberapa peserta didik mungkin lebih nyaman belajar melalui media visual, sementara yang lain membutuhkan pendampingan verbal atau kinestetik. Ketika guru tidak mengidentifikasi gaya belajar peserta didik secara akurat melalui asesmen diagnostik, maka risiko ketimpangan akan semakin besar (Hall et al., 2011) [40]. Hal ini terlihat di lapangan ketika beberapa peserta didik menunjukkan kebingungan dalam mengikuti instruksi dan akhirnya tidak menyelesaikan tugas dengan baik.

Tanggung Jawab Individu merupakan Refleksi terhadap Kematangan Belajar. Tanggung jawab individu dalam menyelesaikan tugas merupakan salah satu indikator penting dari kematangan belajar. Dalam konteks penelitian ini, sebagian peserta didik masih belum mampu mengembangkan tanggung jawab tersebut. Mereka menunda-nunda tugas, menyalin pekerjaan teman, atau bahkan memilih untuk tidak mengerjakan tugas sama sekali. Menurut Duckworth et al. (2007) , keberhasilan akademik sangat dipengaruhi oleh grit dan self-discipline, bukan hanya kecerdasan atau kemampuan kognitif semata [41]. Ketika pembelajaran berdiferensiasi tidak disertai dengan pembinaan disiplin belajar, peserta didik dengan regulasi diri rendah cenderung gagal mengelola tanggung jawab mereka.

Selain itu, dari hasil observasi, perbedaan latar belakang sosial dan emosional juga berpengaruh terhadap cara peserta didik menyikapi tanggung jawab. Beberapa peserta didik mengandalkan suasana hati atau emosi sesaat dalam mengambil keputusan belajar, misalnya hanya membantu atau fokus belajar ketika suasana hatinya sedang baik. Hal ini menunjukkan bahwa regulasi emosi dan manajemen diri belum tertanam kuat dalam diri sebagian peserta didik, sehingga berdampak pada kinerja akademik dan sikap mereka terhadap tugas.

Rekomendasi Integrasi Pembelajaran Berdiferensiasi dan Pembinaan Tanggung Jawab. Untuk mengatasi ketimpangan ini, guru perlu tidak hanya menyesuaikan gaya belajar tetapi juga membangun sistem pembelajaran yang mendukung tanggung jawab individu. Misalnya melalui: 1) Kontrak belajar individual : peserta didik membuat target tugas harian dan refleksi capaian, 2) Penugasan bertahap dengan umpan balik cepat dan spesifik. 3) Pembinaan regulasi diri dan penguatan nilai tanggung jawab melalui diskusi kelas, storytelling, atau kegiatan reflektif. 4) Pendampingan khusus bagi peserta didik yang kesulitan fokus atau memahami tugas (personalized mentoring). Dengan demikian, pembelajaran berdiferensiasi tidak hanya menjadi strategi untuk memenuhi kebutuhan belajar yang beragam, tetapi juga menjadi media untuk membina karakter dan tanggung jawab peserta didik secara berkelanjutan.

Perluasan Konteks Differensiasi Tak Hanya pada Konten, tetapi juga Lingkungan dan Proses

Pembelajaran berdiferensiasi yang diterapkan di kelas 5 SDN Kandangan pada dasarnya telah mencerminkan sebagian prinsip dari pendekatan diferensiasi. Guru telah menyediakan pilihan dalam konten (seperti materi melalui tulisan atau video) dan produk pembelajaran (poster, presentasi, laporan, atau video). Namun demikian, jika dianalisis lebih dalam, diferensiasi yang dilakukan masih terbatas pada aspek konten dan produk, belum menyentuh secara optimal dimensi proses dan lingkungan belajar yang juga sangat penting dalam mendukung keberhasilan pembelajaran berdiferensiasi secara utuh. Menurut Carol Ann Tomlinson (2017), diferensiasi pembelajaran bukan hanya tentang variasi dalam materi ajar atau tugas akhir, tetapi juga mencakup bagaimana proses pembelajaran itu berlangsung serta bagaimana guru mengelola lingkungan fisik dan sosial di kelas. Diferensiasi seharusnya mencakup tiga aspek utama: konten, proses, dan produk, yang disesuaikan dengan kesiapan, minat, dan profil belajar peserta didik.

Keterbatasan pada Diferensiasi Proses. Hasil penelitian menunjukkan bahwa saat guru menyampaikan materi, sebagian besar peserta didik tidak fokus, sibuk sendiri, atau menunjukkan perilaku yang mengganggu, seperti mengobrol, menjahili teman, bahkan membuat kerajinan dari benda di sekitar. Hal ini mengindikasikan bahwa proses pembelajaran belum diorganisasi secara berbeda berdasarkan cara peserta didik belajar.

Lingkungan belajar juga belum sepenuhnya disesuaikan dengan kebutuhan psikologis dan sosial peserta didik. Penelitian menemukan bahwa beberapa peserta didik merasa tidak nyaman belajar di bangku, cepat bosan, bahkan tidak ingin mengikuti kegiatan yang dirancang sekolah karena tidak merasa cocok. Beberapa peserta didik juga menunjukkan perilaku menyimpang atau tidak mampu mengatur dirinya sendiri saat guru tidak berada di kelas. Menurut Hall et al. (2011), lingkungan belajar yang diferensiatif harus mempertimbangkan kebutuhan fisik (tempat belajar yang nyaman, fleksibel), emosional (rasa aman dan dihargai), serta sosial (kesempatan untuk bekerja secara kolaboratif atau mandiri sesuai kebutuhan). Fakta bahwa sebagian peserta didik seperti (C) dan (D) tidak dapat menangkap instruksi, lambat merespons, dan enggan bertanya, menunjukkan bahwa iklim kelas belum mendukung perkembangan rasa percaya diri dan kenyamanan psikologis peserta didik. Lingkungan belajar yang kaku atau tidak inklusif dapat menjadi penghalang bagi peserta didik dengan profil belajar yang berbeda. Ini menunjukkan perlunya pengaturan ulang tata ruang kelas, strategi interaksi sosial, serta pendekatan guru yang lebih responsif terhadap kebutuhan individu peserta didik.

Integrasi Diferensiasi yang Komprehensif. Agar pembelajaran berdiferensiasi dapat berlangsung secara efektif dan menyeluruh, guru harus mampu mengintegrasikan ketiga aspek diferensiasi secara simultan. Menurut Tomlinson (2001), guru seharusnya: 1) Menyesuaikan konten dengan cara menyajikan materi dalam berbagai bentuk (teks, gambar, video, diskusi); 2) Memodifikasi proses dengan menyediakan cara belajar yang berbeda (diskusi, eksperimen, simulasi, proyek); 3) Memberikan kebebasan dalam produk akhir agar peserta didik dapat menunjukkan pemahamannya dengan cara yang sesuai; 4) Menciptakan lingkungan belajar yang adaptif, baik dari segi fisik, emosional, maupun sosial [42]. Di SDN Kandangan, perlu dilakukan perluasan dan penguatan diferensiasi terutama pada proses dan lingkungan belajar. Guru tidak cukup hanya memberikan pilihan tugas atau produk akhir, tetapi juga perlu mengatur bagaimana peserta didik belajar dan dalam suasana seperti apa mereka merasa paling mampu berkembang.

Simpulan

4.1 Simpulan

Penelitian ini menunjukkan bahwa penerapan pembelajaran berdiferensiasi di kelas 5 SDN Kandangan telah relevan dengan Kurikulum Merdeka, namun belum optimal secara menyeluruh. Dampak positif terlihat pada peningkatan keterampilan sosial sebagian peserta didik, seperti empati dan kerja sama, tetapi masih terdapat ketidakkonsistenan perilaku sosial pada peserta didik lain. Terdapat pula ketimpangan dalam gaya belajar dan tanggung jawab individu, di mana peserta didik dengan regulasi diri baik lebih mampu belajar mandiri, sementara yang lain menunjukkan ketergantungan. Selain itu, diferensiasi masih terbatas pada konten dan produk, belum menyentuh aspek proses dan lingkungan belajar secara mendalam. Oleh karena itu, guru perlu memperluas pendekatan diferensiasi dan menguatkan peranannya dalam mendukung perkembangan akademik dan sosial peserta didik secara menyeluruh.

4.2 Saran

Berdasarkan hasil temuan penelitian, peneliti memberikan beberapa saran kepada stakeholder di lingkungan sekolah diantaranya untuk guru, sekolah, peserta didik, dan peneliti selanjutnya. Pertama bagi guru, Guru diharapkan dapat terus mengembangkan pemahaman dan keterampilan dalam menerapkan pembelajaran berdiferensiasi secara lebih menyeluruh. Tidak hanya pada variasi konten dan produk, tetapi juga pada proses pembelajaran dan lingkungan kelas yang mendukung keberagaman peserta didik. Guru juga perlu melakukan asesmen diagnostik secara berkala untuk mengidentifikasi gaya belajar, minat, dan kesiapan peserta didik, sehingga strategi pembelajaran dapat dirancang secara lebih tepat sasaran. Kedua, untuk sekolah, Pihak sekolah perlu memberikan dukungan kebijakan dan fasilitas untuk menunjang penerapan pembelajaran berdiferensiasi, seperti penyediaan pelatihan guru, sarana pembelajaran yang bervariasi, serta lingkungan belajar yang kondusif. Sekolah juga perlu mengembangkan budaya belajar yang menghargai perbedaan dan mendorong kolaborasi antar peserta didik, ketiga kepada peserta didik, yang diharapkan dapat meningkatkan kesadaran terhadap tanggung jawab dalam proses belajar. Mereka perlu dibimbing untuk lebih aktif, mandiri, serta mampu mengatur emosi dan perilaku dalam berinteraksi sosial, sehingga pembelajaran tidak hanya berfokus pada hasil akademik, tetapi juga pada pembentukan karakter. Terakhir saran untuk peneliti selanjutnya, Penelitian ini dapat menjadi dasar bagi penelitian lebih lanjut terkait efektivitas pembelajaran berdiferensiasi terhadap aspek lain, seperti hasil belajar akademik, motivasi belajar, atau keterampilan abad 21. Peneliti selanjutnya dapat menggunakan pendekatan campuran (mixed methods) untuk memperoleh hasil yang lebih komprehensif.

Ucapan Terima Kasih

Penulis mengucapkan terima kasih kepada SD Negeri Kandangan atas izin dan fasilitas dalam pengumpulan data, serta kepada para partisipan yang telah meluangkan waktu dan memberikan informasi berharga. Terima kasih juga penulis sampaikan kepada rekan sejawat atas bantuan di lapangan. Penghargaan mendalam penulis tujukan kepada dosen pembimbing atas arahan, bimbingan, dan motivasi selama proses penelitian. Tidak lupa, terima kasih penuh kasih penulis haturkan kepada keluarga dan orang tercinta atas doa, semangat, dan dukungan yang selalu diberikan. Segala bentuk dukungan tersebut menjadi bagian penting dalam kelancaran dan keberhasilan penelitian ini

References

[1] S. N. Fina, Y. Suasti, and E. Ernawati, “Application of Differentiated Learning in the Independent Curriculum to Improve Learning Outcomes,” Journal of Geography Education, vol. 5, 2024.

[2] S. Tamansiswa, “Teachers’ Ability Analysis Toward Differentiated Learning in Elementary IPAS,” 2024, pp. 410–421.

[3] J. H. E. Putri et al., “The Role of Effective Communication to Strengthen Collaboration in Indonesian Education,” MADANI Journal of Multidisciplinary Studies, vol. 2, no. 5, pp. 547–552, 2024.

[4] D. A. Karimizzah and R. Hidayah, “Social Skills Analysis of Grade 3 Students,” Kalam Cendekia Journal of Education, vol. 8, pp. 409–416, 2020.

[5] A. Marheni et al., “Parent Attachment Quality and Adolescent Social Skills,” Journal of Behavioral Science, vol. 2, no. 2, pp. 118–130, 2019.

[6] M. Firdausi and T. Taufina, “Cooperative Teams Game Tournament Model for Social Skills Improvement,” Jurnal Basicedu, vol. 4, no. 4, pp. 794–800, 2020.

[7] Anonymous, “Education Statistics Report,” vol. 10, 2024.

[8] A. H. Insani and K. Munandar, “Literature Study on Differentiated Learning Importance,” ScienceEdu, vol. 6, no. 1, p. 6, 2023.

[9] D. P. Naibaho, “Differentiated Strategies to Increase Learning Understanding,” Journal of Creative Student Research, vol. 1, no. 2, pp. 81–91, 2023.

[10] N. Safitri et al., “Differentiated Learning Model Review,” Journal of Physics Education, pp. 246–255, 2023.

[11] A. Z. Sarnoto, “Differentiated Learning Model in the Independent Curriculum,” Journal of Education, vol. 1, pp. 1–23, 2024.

[12] A. M. Mukromin et al., “Differentiated Learning and Collaborative Skills,” Jurnal Basicedu, vol. 8, no. 2, pp. 1485–1499, 2024.

[13] F. Andini et al., “Teachers’ Socio-Emotional Competence in Differentiated Learning,” Journal of Social Humanities Sigli, vol. 6, no. 1, pp. 175–182, 2023.

[14] M. Marlina et al., “Station Rotation Strategy for Special Needs Students’ Social Skills,” JPK Journal of Special Education, vol. 18, no. 1, pp. 31–42, 2022.

[15] S. W. Siegal et al., “Aligning Practice With Research Using Small Groups to Differentiate Instruction,” Scholastic Inc., 2024.

[16] C. Haelermans, “Group Differentiation by Students’ Learning Strategies,” Instructional Science, vol. 50, no. 2, pp. 223–250, 2022.

[17] K. Schildkamp et al., “Formative Assessment Teacher Prerequisites,” International Journal of Educational Research, vol. 103, 2020.

[18] K. L. Kaspar and S. L. Massey, “Implementing Social-Emotional Learning,” Early Childhood Education Journal, vol. 51, pp. 641–650, 2023.

[19] S. Utaminingtyas and A. S. Kholim, “Differentiated Learning in Elementary Context,” SHES Conference Series, vol. 7, no. 3, pp. 217–223, 2024.

[20] N. Agusdianita et al., “Differentiated Learning in Independent Curriculum Implementation,” Badranaya Journal, vol. 3, no. 1, pp. 23–29, 2025.

[21] Sugiyono, Quantitative Qualitative and R&D Research Methods, 2nd ed., Bandung: Alfabeta, 2024.

[22] S. McCusker and S. Gunaydin, “Research Using Qualitative, Quantitative or Mixed Methods,” 2015.

[23] S. A. Arifien, “Individual Counseling Case Study,” Journal of Chemical Information Model, vol. 53, no. 9, 2016.

[24] D. Assyakurrohim et al., “Case Study Method in Qualitative Research,” Journal of Science and Computing Education, vol. 3, no. 1, pp. 1–9, 2022.

[25] U. Ridlo, Case Study Research Methods Theory and Practice, 2023.

[26] T. P. Sulaksono, “Civic Education Contribution in Cross Cultural Perspective,” 2017.

[27] S. M. Hakam, “Qualitative Research Methodology,” 2018.

[28] M. B. Miles, A. M. Huberman, and J. Saldana, Qualitative Data Analysis, 3rd ed., SAGE, 2018.

[29] Marzoan, “Differentiated Learning Application in Elementary School,” Renjana Pendidikan Dasar, vol. 3, no. 2, pp. 113–122, 2023.

[30] C. A. Tomlinson, How to Differentiate Instruction in Academically Diverse Classrooms, 3rd ed., ASCD, 2017.

[31] T. Utami et al., “Environmental Care Character Formation,” Vox Edukasi, vol. 15, no. 2, pp. 163–177, 2024.

[32] T. L. Pertiwi and E. R. Kustanti, “Emotion Regulation and Interpersonal Communication,” Jurnal Empati, vol. 9, no. 3, pp. 190–195, 2020.

[33] S. W. Handayani et al., “Emotional Intelligence in Online Learning,” Journal of Education Research, vol. 5, no. 3, p. 446, 2021.

[34] G. D. Novianto et al., “Independent Learning Through Diversity-Based Differentiation,” Jurnal Visi Ilmu Pendidikan, vol. 17, no. 1, pp. 97–108, 2025.

[35] M. Anggreaena et al., Learning and Assessment Guidelines, Ministry of Education Indonesia, 2022.

[36] A. Bandura, Social Foundations of Thought and Action, Prentice-Hall, 1986.

[37] CASEL, “What is SEL,” 2020.

[38] U. Bronfenbrenner, The Ecology of Human Development, Harvard University Press, 1979.

[39] L. S. Vygotsky, Mind in Society, Harvard University Press, 1978.

[40] T. Hall et al., Differentiated Instruction and Implications for UDL, National Center on Accessing the Curriculum, 2011.

[41] A. L. Duckworth et al., “Grit: Perseverance and Passion for Long-Term Goals,” Journal of Personality and Social Psychology, vol. 92, no. 6, pp. 1087–1101, 2007.

[42] C. A. Tomlinson, The Differentiated Classroom, 2nd ed., ASCD, 2014.